Emotions and their influence on decision making - selected issues *


https://doi.org/10.24142/raju.v18n37a7

 

Abstract

The aim of this article is to present the correlation between decision-making and the influence of emotions on this process. It is relevant both to the everyday situations as well as to the law. That’s why in the work it will be presented the results of own research related to decision-making by lawyers and persons practicing a profession other than law in the field of criminal law on the basis of a prepared research case will be presented. The research was conducted using research method survey.

Keywords:

emotions, decision making, law, case - study, criminal law


Resumo

O objetivo deste artigo é apresentar a correlação entre a tomada de decisão e a influência das emoções nesse processo. É relevante tanto para situações cotidianas quanto para o campo jurídico. Portanto, o trabalho apresentará os resultados de uma investigação própria relacionada à tomada de decisões de advogados e pessoas que exercem outra profissão que não a advocacia na área do direito penal, com base em um estudo de caso elaborado. A investigação foi realizada por meio da aplicação do instrumento de pesquisa.

Palavras-chave:

emoções, tomada de decisão, direito, estudo de caso, direito penal


Decision making process

Today, there is a large number and variety of definitions of decision-making, depending on the scientific area in which they are made. The very word decision has its etymology in the Latin “decisio”, which means “decision, decision or resolution” (Holska, 2016).

The psychological definition of decision-making proposed by the American Psychological Association states that it is “the cognitive process of choosing between two or more alternatives, ranging from the relatively clear cut to the complex” (APA, 2023a). Decision making is an integral part of everyone’s life. Due to the range of subjects of potential decisions, it is a multifaceted process and depends on many circumstances, both of a general and individual nature. Therefore, it is a comprehensive subject of research in various fields, such as exact sciences (e.g. economics, mathematics, statistics, computer science), social sciences (sociology, psychology, cognition), as well as medical sciences, in particular neurosciences (Dąbrowski, 2015). There are many concepts related to decision-making, in particular developed in economic sciences and related mainly to the functioning of enterprises. As one of the basic divisions, the following should be mentioned:

  • descriptive decision making models - those theories are connected with the cognitive psychology and their main field of research is focused on people behavior and answering the question how people are making their judgment and decisions;

  • prescriptive decision making models - those ones are connected with the engineering sciences and included mathematical tools, using them were created some formal analysis of decision making and answering the question what types of method allows to achieve the result (Baron, 2012).

These models, in addition to a different approach, also differ in the fields of their application. The prescriptive approach is used primarily in economic sciences or various operational research, and the descriptive approach in psychological and sociological sciences or in management theories (Łabuz, 2019).

Due to the subject of this article, it is reasonable to briefly present a concept closely related to the above-mentioned models - the theory of rational choice. Initiated primarily by Adam Smith in the 18th century, it was developed in later periods, e.g. by Jean-Jacques Rousseau (Paternoster, Jaynes, & Wilson, 2017). It should be emphasized that it was in the 1960s and 1970s that the ideas corresponding to the contemporary theory of rational choice were shaped, e.g. by William Rike, Mancur Olson, or Kenneth Arrow. In the 1990s, this theory was considered one of the most important in various scientific areas, primarily economic, political, sociological and anthropological. According to the assumptions of this theory, actors have been fully informed about all the options available to them and have the opportunity to clearly rank these options according to their preferences, and consequently choose the most satisfactory option based on previous analysis. In addition, this theory assumes that the actor making such an analysis also takes into account the choices made by other actors. Thus, according to this theory, choices are the result of an exhaustive analysis of costs and benefits, available from all directions and for all actors (Verweij, Senior, Domínguez & Turner 2015) *.

Rational decision-making may involve several different processes, which consist of individual stages:

  1. identifying and defining the problem that needs to be solved

  2. specifying the goal

  3. conducting a study of individual variants

  4. determining the consequences of the choice

  5. choosing the best variant

  6. carrying out a sensitivity analysis (Samuelson & Marks 2012)

Considering the above, it clearly follows that the procedure in this model is primarily logical and systematic. Importantly, emotions in the decision-making process taken in accordance with the theory of rational decision-making practically do not play any significant role.

Therefore, the Nobel laureate in economics, Herbert Simon, attempted to improve the existing theory by taking into account psychological factors (Lerner, Li, Valdesolo, Piercarlo & Kassam, 2015). He conducted his research primarily in the area of decision-making by public administration, which resulted from the fact that he worked in the local authorities of the city of Milwaukee in the United States. Simon is credited with creating the theory of bounded rationality, which takes a critical approach to the principle of maximization found in utility theory, and emphasizes psychological decision-making processes (including economic ones), such as perception or cognitive operations. Herbert A. Simon in the company of Allen Newell also introduced the principle of satisfaction into his theory, which consists primarily in making a good choice (Meyer, Caruso & Salovey, 2016). Despite the fact that Newell and Simon did not explicitly indicate emotions as a factor influencing decision-making, his theory is considered to be the beginning of emphasizing the role of psychological factors in this process and it was an inspiration for further research. A breakthrough in the study of emotions took place in the 2000s, when many scientists - psychologists, including Paul Ekman, Nico Frijda, or Dacher Keltner, took up this topic, in particular attempts to define them and how they are one of the dominant factors influencing the making of important life decisions.

Emotions - their definition and functions

So what are emotions? Currently, there is a large number and variety of definitions of the concept of emotions in science, which is primarily due to the fact that they have been the subject of interest of researchers since the beginning of human civilization, and as a consequence, each historical period has had an impact on the definition and reception of this phenomenon (Dąbrowski, 2015).

Nowadays, one of the simpler, yet concise definitions is introduced by the American Psychological Association, which defines emotion as “complex reaction pattern, involving experiential, behavioral, and physiological elements, by which an individual attempts to deal with a personally significant matter or event” (APA, 2023b). Emotions also have some characteristic properties, which include, among others, that:

  • the emergence of emotions is mainly related to the conscious or unconscious evaluation of an event that is somehow relevant to the matter that is important to it” (Keltner, Oatley & Jenkins, 2014, p. 192);

  • emotion usually does not occur alone, usually “it is experienced as a distinct type of mental state, sometimes accompanied or followed by somatic changes, acts of expression and action” (Keltner,Oatley & Jenkins, 2014, p. 191).

Over time, various kinds of divisions of emotions have been made.

The basic division consists in their evaluation and distinguishes positive emotions including pleasant or desirable reactions to a given situation (Cohn, Fredrickson, Brown, Mikels & Conway, 2009) and negative emotions -including unpleasant or unhappy emotions (Sirois, 2003). Subsequent divisions were based on the distinction between basic and complex emotions, and research in this matter was carried out primarily by Robert Plutchik and Paul Ekman. Both of them distinguish certain basic emotions, i.e. those that are to some extent rooted in the brain, and their role is to deal with basic tasks present in the life of every human being (Gu; Wang; Patel; Bourgeois & Huang 2019). Plutchik pointed to 8 basic emotions, based on the criterion of significance, taking into account the adaptation process and included: fear, anger, disgust, sadness, surprise, joy, acceptance, anticipation (Plutchik. 1970). On the other hand, Paul Ekman, as a criterion for creating a catalog of basic emotions, adopted cultural universality and on this basis he distinguished 6 basic emotions, which included: fear, anger, disgust, sadness, joy, and surprise (Gu; Wang; Patel; Bourgeois & Huang 2019).

Virtually all emotions perform certain functions that can be categorized. Such a division of functions performed by emotions was made, among others, by John Marshall Reeve, who distinguished among them:

  • adaptive function - it consists in preparing the human body to take effective action;

  • motivational function - it boils down to a two-way link between emotions and motivation;

  • social function - it consists in improving interactions with the environment (Gałuszka, 2022).

Modern research has undoubtedly proved that, first of all, social emotions influence the making of social decisions (LeDoux, 1998). As a result of more than 35 years of research, Jennifer Lerner, Ye Li, Piercarlo Valdesolo, and Karim Kassam have identified several major themes related to emotional influence on judgment and decision-making. They state that:

  1. Integral emotions affect decision-making - Integral emotions are emotions that result from a present choice or judgment and have a strong and inherent influence on decision-making, they operate on both an unconscious and conscious level;

  2. Incidental emotions affect decision-making - these emotions, unlike integral ones, result in more unconscious influences, mainly their influence has been discovered on decisions that, taking into account the normative aspect, should not be associated with emotions;

  3. There are three primary channels through which emotions shape decisions: via the Content of Thought, via Dept of Thought, and via Goal Activation. The first of these has been studied in detail by Jennifer Lerner and Dacher Keltner, and the results of these studies indicate a different feeling of basic emotions in different dimensions (Lerner, Li, Valdesolo, Piercarlo & Kassam, 2015).

In the context of decision-making by via Dept of Thought, the approach propagated e.g. by Norbert Schwarz (Schwarz, 1990) that when emotions are meant to indicate when a particular situation requires attention:

  1. the occurrence of a negative mood should indicate the arrival of a potential threat and arousal vigilance,

  2. observing a positive mood should be a sign of safety and prompt a more investigative approach (Lerner, Li, Valdesolo, Piercarlo & Kassam, 2015).

Considering the above, it is clear that emotions influence decision-making. However, due to the specific field of law, the author made an attempt to examine whether and how emotions affect the simulation of decision-making in a criminal law case.

Own research in the field of criminal law

For a long time emotional processes did not occupy a central position in criminological thought. Currently, most research concerns anger, which is considered a key emotion for understanding society’s response to crime (van Gelder,2002).

Very good example which can illustrate the number and variety of emotions that appear in the area of criminal law will be the quotation of Professor Suzanne Karstedt, Emotions pervade penal law and the criminal justice system. Offenders, victims and witnesses bring their emotions to the courtroom, criminal courts deal with crimes of passion, and their decisions can occasion public outrage and anger, or feelings of vengeance among victims. Offenders feel shame and remorse when they have transgressed the laws, and offences provoke feelings of moral disgust. At the same time, victims as well as offenders elicit our compassion and sympathy” (Karstedt, 2002).

According to the observation of emotional influence in criminal law I decided to conduct research in the area of criminal law. In two thousand twenty I conducted research on the influence of emotions on perceptions and judgment. The aim of the research was to check if and to what extent emotions influence the judgment and decision - making by potential participants in the process. The respondents were randomly divided into four research groups: group no.1 non legal profession, group no.1 lawyers, group no.2 non legal profession and group no.2 lawyers. There were 34 people in group 1 non legal profession - 22 of them were women, 12 men, while group 1 lawyers consisted of 28 people - 13 women and 15 men. Group 2 non legal profession comprised 28 people - 14 women and 14 men, and group 2 lawyers were 22 people - 13 men and 9 women.

As a part of this research, two versions of the same legal case were prepared - one with very detailed descriptions of events and emotions, and the other one containing facts only, without unnecessary descriptions. The respondents were asked to play the role of a judge, to pass a judgment in the presented case and to justify it briefly. Groups number 1 received an emotional description version of the case, while the second group received a matter of fact description version. The study was conducted via Google Forms. Apart from the content of the case, the respondents were asked to provide their gender, age, education and place of residence.

It is necessary for further presenting the research results to do a short presentation of the case story. It was a case about a girl, living only with her father, who was psychologically abused by him. The father has a high position in the local community. Once, while another big argument with her father, she grabbed a mortar grinder and stroke her father on the back of his head, then locked herself in the room. The blow to the head resulted in father’s instant death. An hour later she came back into the kitchen and saw her father dead, so she decided to hide the body in the garden. After some time the police found the body and the girl was accused of causing father’s death. On a trial, the defender indicated the personality of the penalty not to be imposed for an extraordinary leniency. The question in the case study was: Do you think the girl is guilty or not? What judgement would you make as a judge in this case?

It is necessary to point that the results were presented shortly in my earlier article however they were just described there. I have improved them by calculated all the data in the charts in the Statistica program.

What are the results?

1. There can be observed some gender - diversified responses.

The main impact shows that the gender of the respondents affects the guilt/innocence of the accused. As it is presented on the chart, women more often indicated that the main character of the case study is innocent. It can be observed both in the not lawyers group however also lawyers.

According to the gender - diversified responses, research has revealed another result. The gender of the respondents affects the proposed punishment. Women as judges in the case study provided were most likely to pass a lighter sentence than men.

It can be potencially connected with the emotional empathy to the main character, which is understanded as an ability to feeling other person’s emotions. This behavior may be due to the fact that she was a victim of domestic violence and that’s why the empathy was born.

In those results there is observed a statistical significance p=0,54 and p =0,79.

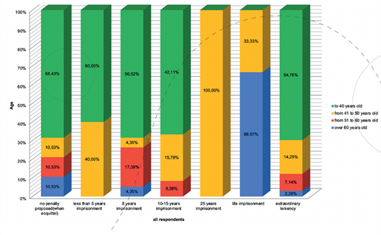
It is worth presenting another result, which is, just like the previous one, related to the gender differences between the respondents. For instance, the most severe sentences were proposed by men aged between 41 to over 60 years old, what is shown on the chart. They suggested a penalty of 25 years imprisonment, a penalty of life imprisonment and the “highest penalty”. Mostly, as their provided as justifications reasons such as “patricide”, “severe sentence, because he was her father”, “if she had a problem, she should have gone to a psychiatrist instead of killing her father”. The negative emotion, which was shown in those examples, probably was anger. It could be caused by the act of a daughter killing her father. In my opinion it can be noted a correspondence with the last research made by Brian Quigley and James Tedeschi, where states that when the incidental anger which appears in some situation can automatically elicit blaming other person however it has nothing to compare with the source of anger (Quigley & Tedeschi, 1996). The results are also connected to the research made by professor Carolyn Cote - Lussier. The research shows that the experience of anger is apparent before an individual can formulate an opinion about a specific crime or about the current crime rate, or even the purpose of sending someone to prison. The research also shows that anger is a very strong and fast reaction, and that the people who said that somebody should be punished more harshly, are relying on intuitive emotional reaction and not on cold hard facts (Cote - Lussier, 2022).

2.There can be observed some age - diversified responses.

The presented chart illustrates one more basic dependence related to the influence of the respondent’s age on punishment. The age of respondent’s affects the severity of the punishment imposed. Younger respondents suggested a more lenient sentence. It could be connected with their life experience as well as the fact that they are in the similar age group to the main character and they could imagine what prospects of live she still can have for a better future. In this relation can be observed statistical significance p = 0.03.

3.There can be observed some profession - diversified responses.

The profession of the respondents has an impact on the opinion regarding the guilt/innocent of the accused. Using the chart, we get that 100.00% of respondents with non-legal profession proposed acquittal verdicts. Summing up, the profession of the respondents (legal/non-legal) has an impact on the opinion regarding the guilt/innocence of the accused.

It can be concluded that this is because legal professions are a group less susceptible to being marked by an emotional influence than people with a non-legal profession. In addition, it is necessary to note that the lawyers made a comprehensive analysis of the situation and detailed consideration of the possibilities in this matter.

In my opinion, such a relationship may result from the nature of the legal profession. People performing this profession must be somewhat resistant to the effects of various distracting factors, and emotions are one of them.

Statistical significance p=0.04 occurs between the profession (legal/ non-legal) and the opinion on the guilt/innocence of the presented person. There is a weak correlation between the variables (V=0.39).

What’s more the profession has an impact on the discrepancy of the respondents’ answers. In groups of law practitioners, there is a tendency to pass a more detailed justification of the judgment. Additionally, when comparing the results of groups, it can be noted that law practitioners were more inclined to propose a specific sentence (e.g. 8 years imprisonment), and refer to a specific law article. Non - legal profession groups indicated various penalties and did not refer to specific law articles. They also used a lot of phrases like “it seems to me”, “in my opinion”, which suggested an intuitive approach to the matter. That’s probably the reason why a greater discrepancy on the proposed penalty occurs in people with non - legal professions answers.

Summary and conclusions

The main goal of this work was to explore emotional impact on decision making process. It was proved that undoubtedly they have an inherent relationship with decision making, which was also confirmed by the results of the study. This correlation has two-sides.

The work also presents basic types of the decision making process and their division. One of presented approach is strictly connected with the psychical nature of human being. It is kind of natural that the emotions take part in it. The reflection of the presented correlation can be found in the results of the research conducted for the purposes of this article. The results undoubtedly show a noticeable differences between responses which are mostly depending on age, gender and occupation.

The subject of emotions and decision making process is still a point of the nowadays research which is mostly provided in the United States. However, the rest of world starts to notice that correlation and the benefits and possibilities of using them.

Referencias

American Psychological Association (APA). (2023a). Decision making, APA Dictionary of Psychology. https://dictionary.apa.org/decision-making

American Psychological Association (APA) 2023aDecision making, APA Dictionary of Psychologyhttps://dictionary.apa.org/decision-making

American Psychological Association (APA). (2023b). Emotion, APA Dictionary of Psychology. https://dictionary.apa.org/emotions.

American Psychological Association (APA) 2023bEmotion, APA Dictionary of Psychologyhttps://dictionary.apa.org/emotions

Baron, J. (2012). The point of normative models in judgment and decision making. Front. Psychology, (3), 577. https://www.frontiersin.org/articles/10.3389/fpsyg.2012.00577/full.

J. Baron 2012The point of normative models in judgment and decision makingFront. Psychology3577577https://www.frontiersin.org/articles/10.3389/fpsyg.2012.00577/full

Cohn, M. A., Fredrickson, B. L., Brown, S. L., Mikels, J. A. y Conway, A. M. (2009). Happiness unpacked: Positive emotions increase life satisfaction by building resilience. Emotion, 9(3), 361-368 https://www.ncbi.nlm.nih.gov/pmc/articles/PMC3126102/.

M. A. Cohn B. L. Fredrickson S. L. Brown J. A. Mikels A. M. Conway 2009Happiness unpacked: Positive emotions increase life satisfaction by building resilienceEmotion93361368https://www.ncbi.nlm.nih.gov/pmc/articles/PMC3126102/

Côté-Lussier, C. y David, J.-D. (2023). Intuitive anger in the context of crime and punishment. Psychology, Crime & Law, 29(5), 465-487. https://www.tandfonline.com/doi/abs/10.1080/1068316X.2022.2027946.

C. Côté-Lussier J.-D. David 2023Intuitive anger in the context of crime and punishmentPsychology, Crime & Law295465487https://www.tandfonline.com/doi/abs/10.1080/1068316X.2022.2027946

Critchley, P. (2018). Autonomy, authenticity and authority: The rational freedom of Jean-Jacques Rousseau. Humanities commons. Based on commons in a BOX. https://hcommons.org/deposits/item/hc:19891/.

P. Critchley 2018Autonomy, authenticity and authority: The rational freedom of Jean-Jacques Rousseau. Humanities commonsBased on commons in a BOXhttps://hcommons.org/deposits/item/hc:19891/

Dąbrowski, A. (2015). Emotions and decision-making processes. En A. Dąbrowski, A. Schumann y J. Woleński (Eds.), Decision making-concepts, theories, controversies, Kraków (pp. 235-261). https://www.academia.edu/36167745/Emocje_a_procesy_decyzyjne.

A. Dąbrowski 2015Emotions and decision-making processes A. Dąbrowski A. Schumann J. Woleński Decision making-concepts, theories, controversies, Kraków235261https://www.academia.edu/36167745/Emocje_a_procesy_decyzyjne

Fredrickson, B. L. (2002). Positive emotions. En S. López, C. R. Snyder, L. Edwards y S. Marques (Eds.), The Oxford handbook of positive psychology (pp. 120-134). Oxford University Press.

B. L. Fredrickson 2002Positive emotions S. López C. R. Snyder L. Edwards S. Marques The Oxford handbook of positive psychology120134Oxford University Press

Gałuszka, A. (2022). Emotion-their meaning and tasks. Journal of Education, Health and Sport, 12(1), 147-159.

A. Gałuszka 2022Emotion-their meaning and tasksJournal of Education, Health and Sport121147159

Gu, S., Wang, F., Patel, N. P., Bourgeois, J. A. Y Huang, J. H. (2019). A model for basic emotions using observations of behavior in Drosophila. Frontiers in Psychologia, (10), 781.

S. Gu F. Wang N. P. Patel J. A. Bourgeois J. H. Huang 2019A model for basic emotions using observations of behavior in DrosophilaFrontiers in Psychologia10781781

Holska, A. M. (2016). Theories of decision-making. En K. Krzysztof (Ed.), Management, organizations and organizing. A review of theoretical perspectives. Warsaw.

A. M. Holska 2016Theories of decision-making K. Krzysztof Management, organizations and organizing. A review of theoretical perspectivesWarsaw

Keltner, D., Oatley, K. y Jenkins, J. (2014). Understand emotions. John Wiley & Sons. https://vdoc.pub/documents/understanding-emotions-7jba5ueeimt0.

D. Keltner K. Oatley J. Jenkins 2014Understand emotionsJohn Wiley & Sonshttps://vdoc.pub/documents/understanding-emotions-7jba5ueeimt0

Łabuz, A. (2019). The decision-making process on the example of the purchase of new computer equipment. Studies and Works, (59), 119-130. https://wnus.usz.edu.pl/sip/en/issues/.

A. Łabuz 2019The decision-making process on the example of the purchase of new computer equipmentStudies and Works59119130https://wnus.usz.edu.pl/sip/en/issues/

LeDoux, J. E. (1998). The emotional brain. The mysterious underpinnings of emotional life. Simon & Schuster.

J. E. LeDoux 1998The emotional brain. The mysterious underpinnings of emotional lifeSimon & Schuster

Lerner, J., Li, Y., Valdesolo, P. y Kassam, K. (2015). Emotion and decision making. Annual Review of Psychology, 66, 799-823.

J. Lerner Y. Li P. Valdesolo K. Kassam 2015Emotion and decision makingAnnual Review of Psychology66799823

Mayer, J. D., Caruso, D. R. y Salovey, P. (2016). The ability model of emotional intelligence: Principles and updates. Emotion Review, 8(4), 290-300. https://doi.org/10.1177/1754073916639667.

J. D. Mayer D. R. Caruso P. Salovey 2016The ability model of emotional intelligence: Principles and updatesEmotion Review84290300https://doi.org/10.1177/1754073916639667

Newell, A. y Simon, H. A. (1972). Human problem solving. Prentice-Hall. https://learnlab.org/wiki/images/1/1d/Human_Problem_Solving.pdf.

A. Newell H. A. Simon 1972Human problem solvingPrentice-Hallhttps://learnlab.org/wiki/images/1/1d/Human_Problem_Solving.pdf

Paternoster, R., Jaynes, C. M. y Wilson, T. (2017). Rational choice theory and interest in the “Fortune of Others”. Journal of Research in Crime and Delinquency, 54(6), 847-868. https://ccjs.umd.edu/sites/ccjs.umd.edu/files/pubs/1compliant-Rational%20Choice%2C%20Paternoster.pdf o https://doi.org/10.1177/0022427817707240.

R. Paternoster C. M. Jaynes T. Wilson 2017Rational choice theory and interest in the “Fortune of Others”Journal of Research in Crime and Delinquency546847868https://ccjs.umd.edu/sites/ccjs.umd.edu/files/pubs/1compliant-Rational%20Choice%2C%20Paternoster.pdfhttps://doi.org/10.1177/0022427817707240

Plutchik R., (1970). Emotions, evolution, and adaptive processes. En M. B. Arnold (Ed.), Feelings and emotions. The Loyola Symposium (pp. 3-24). Academic Press. https://shop.elsevier.com/books/feelings-and-emotions/arnold/978-0-12-063550-4.

R. Plutchik 1970Emotions, evolution, and adaptive processes M. B. Arnold Feelings and emotions. The Loyola Symposium324Academic Presshttps://shop.elsevier.com/books/feelings-and-emotions/arnold/978-0-12-063550-4

Quigley, B. M. y Tedeschi, J. T. (1996). Mediating effects of blame attributions on feelings of anger. Personality and Social Psychology Bulletin, 22(12), 1280-1288. https://doi.org/10.1177/01461672962212008.

B. M. Quigley J. T. Tedeschi 1996Mediating effects of blame attributions on feelings of angerPersonality and Social Psychology Bulletin221212801288https://doi.org/10.1177/01461672962212008

Reeve, J. (2009). Motivación y emoción. McGraw-Hill/Interamericana Editores. https://clea.edu.mx/biblioteca/files/original/22488921e36d90caeef3d8973d805dcb.pdf.

J. Reeve 2009Motivación y emociónMcGraw-Hill/Interamericana Editoreshttps://clea.edu.mx/biblioteca/files/original/22488921e36d90caeef3d8973d805dcb.pdf

Samuelson W. F. y Marks S. G., (2012). Managerial economics. John Wiley & Sons. http://www.mim.ac.mw/books/Samuelson%20Managerial%20Economics%207e.pdf.

W. F. Samuelson S. G. Marks 2012Managerial economicsJohn Wiley & Sonshttp://www.mim.ac.mw/books/Samuelson%20Managerial%20Economics%207e.pdf

Schwarz, N. (1990). Feelings as information: Informational and motivational functions of affective states. En E. T. Higgins y R. M. Sorrentino (Eds.), Handbook of motivation and cognition: Foundations of social behavior (vol. 2, pp. 527-561). The Guilford Press.

N. Schwarz 1990Feelings as information: Informational and motivational functions of affective states E. T. Higgins R. M. Sorrentino Handbook of motivation and cognition: Foundations of social behavior2527561The Guilford Press

Sirois, B. C. y Burg, M. M. (2003). Negative emotion and coronary heart disease: A review. Behavior Modification, 27(1), 83-102. https://pubmed.ncbi.nlm.nih.gov/12587262/.

B. C. Sirois M. M. Burg 2003Negative emotion and coronary heart disease: A reviewBehavior Modification27183102https://pubmed.ncbi.nlm.nih.gov/12587262/

Verweij, M., Senior, T. J., Domínguez, D. Y Turner, R. (2015). Emotion, rationality, and decision-making: How to link affective and social neuroscience with social theory. Frontiers in Neuroscience, 9, 332. 10.3389/fnins.2015.00332. https://www.frontiersin.org/articles/10.3389/fnins.2015.00332/full.

M. Verweij T. J. Senior D. Domínguez R. Turner 2015Emotion, rationality, and decision-making: How to link affective and social neuroscience with social theoryFrontiers in Neuroscience933233210.3389/fnins.2015.00332https://www.frontiersin.org/articles/10.3389/fnins.2015.00332/full

[1] Preparation of the article was financed under the project “Motivational basis of law. Contemporary interpretation of Leon Petrażycki’s theory”(grant NCN 2019/33/B/HS5/01521)


Emociones y su influencia en la toma de decisiones: cuestiones seleccionadas *


Resumen

El objetivo de este artículo es presentar la correlación entre la toma de decisiones y la influencia de las emociones. Es relevante tanto para las situaciones cotidianas como para el ámbito legal. Por eso, en el trabajo se presentarán los resultados de una investigación propia relacionada con la toma de decisiones por parte de abogados y personas que practican una profesión distinta a la ley en el campo del derecho penal, basándose en un caso de estudio preparado. La investigación se llevó a cabo mediante la aplicación del instrumento de encuesta.



Proceso de toma de decisiones

Hoy en día existe una gran cantidad y variedad de definiciones para la toma de decisiones, dependiendo del área científica en la que se realicen. La palabra “decisión” tiene su etimología en el latín decisio, que significa “decisión, resolución o determinación” (Holska, 2016).

La definición psicológica de la toma de decisiones propuesta por la Asociación Estadounidense de Psicología establece que es “el proceso cognitivo de elegir entre dos o más alternativas, que van desde las relativamente simples hasta las complejas” (APA, 2023a). La toma de decisiones es una parte integral de la vida de todos. Debido a la variedad de temas de decisiones potenciales, es un proceso multifacético que depende de muchas circunstancias, tanto de carácter general como individual. Por lo tanto, es un tema completo de investigación en diversos campos, como las ciencias exactas (por ejemplo, economía, matemáticas, estadística, informática) y las ciencias sociales (sociología, psicología, cognición), así como las ciencias médicas, en particular las neurociencias (Dąbrowski, 2015). Existen muchos conceptos relacionados con la toma de decisiones, en especial desarrollados en las ciencias económicas y asociados principalmente con el funcionamiento de las empresas. Algunas de las versiones más significativas son las siguientes:

  • Modelos descriptivos de toma de decisiones: estas teorías están relacionadas con la psicología cognitiva y su principal campo de investigación se centra en el comportamiento de las personas y en responder a la pregunta de cómo las personas emiten juicios y toman decisiones.

  • Modelos prescriptivos de toma de decisiones: estos están relacionados con las ciencias de la ingeniería e incluyen herramientas matemáticas. Con su ayuda se han creado análisis formales de la toma de decisiones y se responde a la pregunta sobre qué tipos de métodos permiten lograr el resultado (Baron, 2012).

Estos modelos, además de tener un enfoque diferente, también difieren en los campos de su aplicación. El enfoque prescriptivo se utiliza principalmente en las ciencias económicas o en diversas investigaciones operativas, mientras que el enfoque descriptivo se emplea en las ciencias psicológicas y sociológicas, así como en las teorías de la gestión (Łabuz, 2019).

Debido al tema de este artículo, es razonable presentar brevemente un concepto estrechamente relacionado con los modelos mencionados antes: la teoría de la elección racional. Iniciada principalmente por Adam Smith en el siglo XVIII, fue desarrollada en períodos posteriores por autores como Jean-Jacques Rousseau (Paternoster et al., 2017). Debe enfatizarse que fue en las décadas de 1960 y 1970 cuando se formaron las ideas que corresponden a la teoría contemporánea de la elección racional, por ejemplo, por William Rike, Mancur Olson o Kenneth Arrow. En la década de 1990 esta teoría se consideraba una de las más importantes en diversas áreas científicas, principalmente en economía, política, sociología y antropología. Según las suposiciones de esta teoría, los actores están completamente informados acerca de todas las opciones disponibles para ellos y tienen la oportunidad de clasificar claramente estas opciones según sus preferencias, eligiendo en consecuencia la opción más satisfactoria basada en un análisis previo. Además, esta teoría asume que el actor que realiza tal análisis también tiene en cuenta las elecciones realizadas por otros actores. Por lo tanto, las elecciones son el resultado de un análisis exhaustivo de costos y beneficios, disponibles desde todas las direcciones y para todos los actores (Verweij et al., 2015).

La toma de decisiones racional puede involucrar varios procesos diferentes, que se pueden enumerar en las siguientes etapas individuales:

  1. Identificar y definir el problema que necesita resolverse.

  2. Especificar el objetivo.

  3. Realizar un estudio de las variantes individuales.

  4. Determinar las consecuencias de la elección.

  5. Elegir la mejor variante.

  6. Realizar un análisis de sensibilidad (Samuelson y Marks, 2012).

Considerando lo anterior, queda claro que el procedimiento en este modelo es principalmente lógico y sistemático. Es importante destacar que las emociones prácticamente no desempeñan un papel significativo en el proceso de toma de decisiones, según la teoría de la toma de decisiones racional.

Por lo tanto, el Premio Nobel de Economía, Herbert A. Simon, intentó mejorar la teoría existente teniendo en cuenta factores psicológicos (Lerner et al., 2015). Realizó su investigación principalmente en el ámbito de la toma de decisiones por parte de la administración pública, lo que resultó del hecho de que trabajó con las autoridades locales de la ciudad de Milwaukee en Estados Unidos. A Simon se le atribuye la creación de la teoría de la racionalidad limitada, que adopta un enfoque crítico hacia el principio de maximización que se encuentra en la teoría de la utilidad, y enfatiza los procesos de toma de decisiones psicológicos (incluidos los económicos), como la percepción u operaciones cognitivas. Herbert A. Simon, en compañía de Allen Newell, introdujeron el principio de la satisfacción en su teoría, que consiste principalmente en tomar una buena decisión (Mayer et al., 2016). A pesar de que Newell y Simon no indicaron explícitamente las emociones como un factor que influye en la toma de decisiones, su teoría se considera el inicio de destacar el papel de los factores psicológicos en este proceso, y fue una inspiración para investigaciones posteriores. Un avance en el estudio de las emociones tuvo lugar en la década del 2000, cuando muchos científicos, incluidos psicólogos como Paul Ekman, Nico Frijda o Dacher Keltner, abordaron este tema, en particular intentando definirlas y expli cando cómo son uno de los factores dominantes que influyen en la toma de decisiones importantes en la vida.

Emociones: su definición y funciones

Entonces, ¿qué son las emociones? En la actualidad, existe una gran cantidad y variedad de definiciones del concepto de emociones en la ciencia, lo cual se debe al hecho de que han sido objeto de interés de los investigadores desde el inicio de la civilización humana y, como consecuencia de ello, en cada período histórico han tenido un impacto diferente en la definición y comprensión de este fenómeno (Dąbrowski, 2015).

Hoy en día, una de las definiciones más simples pero concisas es presentada por la Asociación Estadounidense de Psicología, que define la emoción como “un patrón de reacción complejo que involucra elementos experienciales, conductuales y fisiológicos, mediante el cual un individuo intenta lidiar con un asunto o evento personalmente significativo” (APA, 2023b). Las emociones también tienen algunas propiedades o características, que incluyen, entre otras:

  • La aparición de las emociones está principalmente relacionada con la evaluación consciente o inconsciente de un evento que de alguna manera es relevante para el asunto que le importa (Keltner et al., 2014, p. 192).

  • Por lo general, la emoción no ocurre sola, generalmente “se experimenta como un tipo de estado mental distintivo, a veces acompañado o seguido de cambios somáticos, actos de expresión y acción” (Keltner et al., 2014, p. 191).

Con el tiempo se han realizado diversas escisiones a las emociones. La división básica se basa en su evaluación y distingue entre emociones positivas, que incluyen reacciones placenteras o deseables a una situación dada (Cohn et al., 2009), y emociones negativas, que comprenden emociones desagradables o infelices (Sirois y Burg, 2003). Clasificaciones posteriores se basaron en la distinción entre emociones básicas y complejas, y la investigación en este tema fue realizada principalmente por Robert Plutchik y Paul Ekman. Ambos distinguen ciertas emociones básicas, es decir, aquellas que están en cierta medida arraigadas en el cerebro y cuya función es lidiar con las tareas básicas presentes en la vida de cada ser humano (Gu et al., 2019). Plutchik (1970) señaló ocho emociones básicas determinadas en el criterio de relevancia, teniendo en cuenta el proceso de adaptación, que incluyen: miedo, ira, disgusto, tristeza, sorpresa, alegría, aceptación y anticipación. Por otro lado, Paul Ekman, como criterio para crear un catálogo de emociones básicas, adoptó la universalidad cultural, y, sobre esta base, distinguió seis emociones básicas que incluyen: miedo, ira, disgusto, tristeza, alegría y sorpresa (Gu et al., 2019).

Prácticamente, todas las emociones cumplen ciertas funciones que pueden categorizarse. Una división de las funciones realizadas por las emociones fue elaborada, entre otros, por Johnmarshall Reeve (2009), quien distinguió entre ellas las siguientes:

  • Función adaptativa: consiste en preparar el cuerpo humano para tomar medidas efectivas.

  • Función motivacional: se reduce a una relación bidireccional entre las emociones y la motivación.

  • Función social: consiste en mejorar las interacciones con el entorno (Gałuszka, 2022).

La investigación moderna ha demostrado, sin lugar a duda, que en primer lugar las emociones sociales influyen en la toma de decisiones sociales (LeDoux, 1998). Como resultado de más de treinta y cinco años de investigación, Jennifer Lerner, Ye Li, Piercarlo Valdesolo y Karim Kassam (2015) han identificado varios temas principales relacionados con la influencia emocional en el juicio y la toma de decisiones. Ellos afirman que:

  1. Las emociones integrales afectan la toma de decisiones: las emociones integrales son aquellas que resultan de una elección o juicio actual y tienen una influencia fuerte e inherente en la toma de decisiones, operan tanto a nivel inconsciente como consciente.

  2. Las emociones incidentales afectan la toma de decisiones: estas emociones, a diferencia de las integrales, resultan en influencias más inconscientes, principalmente su influencia se ha descubierto en decisiones que, desde el punto de vista normativo, no deberían estar relacionadas con las emociones.

  3. Hay tres canales principales a través de los cuales las emociones moldean las decisiones: a través del contenido del pensamiento, a través de la profundidad del pensamiento y a través de la activación de objetivos. El primero de estos ha sido estudiado en detalle por Jennifer Lerner y Dacher Keltner, y los resultados de estos estudios indican una experiencia diferente de las emociones básicas en distintas dimensiones (Lerner et al., 2015).

En el contexto de la toma de decisiones a través de la profundidad del pensamiento, se promueve el enfoque; por ejemplo, Norbert Schwarz (1990) sostiene que las emociones indican cuándo una situación particular requiere atención en los siguientes momentos:

  1. la aparición de un estado de ánimo negativo debería indicar la llegada de una amenaza potencial y despertar la vigilancia,

  2. observar un estado de ánimo positivo debería ser un signo de seguridad y fomentar un enfoque más investigativo (Lerner et al., 2015).

Considerando lo anterior, es evidente que las emociones influyen en la toma de decisiones. Sin embargo, debido al campo específico del derecho, el autor realizó un intento de examinar cómo las emociones afectan la simulación de la toma de decisiones en un caso de derecho penal.

Investigación propia en el campo del derecho penal

Durante mucho tiempo los procesos emocionales no ocuparon una posición central en el pensamiento criminológico. Actualmente, la mayoría de las investigaciones se centran en la ira, que se considera una emoción clave para comprender la respuesta de la sociedad al delito.

Un ejemplo muy bueno que puede ilustrar la cantidad y variedad de emociones que aparecen en el ámbito del derecho penal es la cita de la profesora Suzanne Karstedt:

Las emociones impregnan el derecho penal y el sistema de justicia penal. Los delincuentes, las víctimas y los testigos traen sus emociones a la sala de audiencias, los tribunales penales tratan con crímenes de pasión y sus decisiones pueden causar indignación y enojo público, o sentimientos de venganza entre las víctimas. Los delincuentes sienten vergüenza y remordimiento cuando han transgredido las leyes, y las infracciones provocan sentimientos de repugnancia moral. Al mismo tiempo, las víctimas, así como los delincuentes, despiertan nuestra compasión y simpatía (s. d.).

De acuerdo con la observación de la influencia emocional en el derecho penal, decidí llevar a cabo una investigación en esta área del derecho. En el año 2020 realicé una investigación sobre la influencia de las emociones en las percepciones y el juicio. El objetivo era verificar en qué medida las emociones influyen en el juicio y la toma de decisiones por parte de los posibles participantes en el proceso. Los encuestados se escogieron al azar en cuatro grupos de investigación, de la siguiente manera: grupo 1 de no profesionales del derecho, grupo 1 de abogados, grupo 2 de no profesionales del derecho y grupo 2 de abogados. En el grupo 1 de no profesionales del derecho había 34 personas: 22 mujeres y 12 hombres, mientras que el grupo 1 de abogados estaba compuesto por 28 personas: 13 mujeres y 15 hombres. El grupo 2 de no profesionales del derecho constaba de 28 personas: 14 mujeres y 14 hombres, y el grupo 2 de abogados estaba formado por 22 personas: 13 hombres y 9 mujeres.

Como parte de esta investigación, se prepararon dos versiones del mismo caso legal: una con descripciones muy detalladas de eventos y emociones, y la otra que contenía solo hechos, sin descripciones innecesarias. Se pidió a los encuestados que asumieran el papel de un juez, que emitieran un juicio en el caso presentado y que lo justificaran brevemente. El grupo 1 recibió la versión con una descripción emocional del caso, mientras que el grupo 2 solo recibió la versión puramente factual. El estudio se llevó a cabo a través de Google Forms. Además del contenido del caso, se les pidió a los encuestados que proporcionaran su género, edad, educación y lugar de residencia.

Es necesario hacer una breve presentación de la historia del caso para presentar los resultados de la investigación de manera adecuada. Se trató de un caso en el que una niña, que vivía solo con su padre, fue víctima de abuso psicológico por parte de él. El padre tenía una posición alta en la comunidad local. En un momento, durante una gran discusión con su padre, la niña agarró un mortero y lo golpeó en la parte posterior de la cabeza. Luego se encerró en la habitación. El golpe resultó en la muerte instantánea del padre. Una hora después, ella regresó a la cocina y vio al padre muerto, por lo que decidió ocultar el cuerpo en el jardín. Con el tiempo, la policía encontró el cuerpo y la niña fue acusada de causarle la muerte. Durante el juicio, la defensa argumentó que se tuviera indulgencia con la acusada por ser apenas una niña y que no debía imponerse una pena severa. La pregunta en el caso de estudio fue: ¿Cree que la niña es culpable o no? ¿Qué veredicto emitiría como juez en este caso?

Es importante señalar que los resultados se presentaron brevemente en un artículo anterior, sin embargo, allí solo se describieron. Pero para el presente se han he mejorado los datos en los gráficos con el programa Statistica.

¿Cuáles son los resultados?

1. Se pueden observar algunas respuestas diversificadas según el género.

El impacto principal muestra que el género de los encuestados afecta a la culpabilidad/inocencia del acusado. Como se muestra en la figura 7.1, las mujeres con mayor frecuencia indicaron que el personaje principal del estudio de caso es inocente. Esto se puede observar tanto en el grupo de no abogados como en el de abogados.

Figura 7.1

Resultados dependiendo del género de los encuestados

2619-4066-raju-18-37-203-gf6.png

Fuente: elaboración propia.

De acuerdo con las respuestas diversificadas por género, la investigación ha revelado otro resultado. El género de los encuestados afecta a la pena propuesta. Las mujeres, en calidad de jueces en el estudio de caso proporcionado, eran más propensas a imponer una pena más leve que los hombres. Esto podría estar potencialmente relacionado con la empatía emocional hacia el personaje principal, que se entiende como la habilidad para sentir las emociones de otra persona. Este comportamiento podría deberse al hecho de que la procesada fue víctima de violencia doméstica y, por lo tanto, nació la empatía. En estos resultados se observa una significancia estadística de p = 0,54 y p = 0,79.

Figura 7.2

Penas dependiendo del género

2619-4066-raju-18-37-203-gf7.png

Fuente: elaboración propia.

Vale la pena presentar otro resultado, que al igual que el anterior, está relacionado con las diferencias de género entre los encuestados. Por ejemplo, las sentencias más severas fueron propuestas por hombres entre 41 y más de 60 años, como se muestra en la figura 7.3. Sugerían una pena de 25 años de prisión, cadena perpetua y la “pena más alta”. En su mayoría, como justificación, mencionaron razones como “patricidio”, “sentencia severa, porque era su padre” y “si tenía un problema debería haber ido a un psiquiatra, en lugar de matar a su padre”. La emoción negativa que se mostró en estos ejemplos probablemente fue la ira. Esto podría deberse al acto de una hija que mata a su padre. En mi opinión, se puede notar una correspondencia con la última investigación realizada por Brian Quigley y James Tedeschi (1996), donde se afirma que la ira incidental que aparece en algunas situaciones puede automáticamente llevar a culpar a otra persona, aunque no tenga nada que ver con la fuente de la ira. Los resultados también están relacionados con la investigación realizada por la profesora Carolyn Cote-Lussier y Jean Denis David (2022), quienes demuestran que la experiencia de la ira es evidente antes de que un individuo pueda formular una opinión sobre un delito específico, sobre la tasa de criminalidad actual o incluso sobre el propósito de enviar a alguien a prisión. La investigación también detalla que la ira es una reacción muy fuerte y rápida, y que las personas que dicen que alguien debería castigarse más severamente se basan en una reacción emocional intuitiva y no en hechos fríos y duros (Cote-Lussier, 2022).

Figura 7.3

Penas propuestas por hombres y rango de edad

/2619-4066-raju-18-37-203-gf8.png

elaboración propia.

2. Se pueden observar algunas respuestas diversificadas según la edad.

La figura anterior ilustra otra dependencia básica relacionada con la influencia de la edad de los encuestados en la pena. La edad de los encuestados afecta la severidad de la pena impuesta. Los encuestados más jóvenes sugirieron una pena más indulgente. Esto podría estar relacionado con su experiencia de vida, así como con el hecho de que están en el mismo grupo de edad que el personaje principal y pueden imaginar las perspectivas de vida que aún puede tener para un futuro mejor. En este sentido, se observa una significancia estadística de p = 0.03.

3. Se pueden observar algunas respuestas diversificadas según la profesión.

La profesión de los encuestados tiene un impacto en la opinión sobre la culpabilidad/inocencia del acusado. Según la figura 7.4, el 100,00 % de los encuestados con una profesión no legal propusieron veredictos de absolución. En resumen, la profesión de los encuestados (legal/no legal) tiene un impacto en la opinión sobre la culpabilidad/inocencia del acusado. Se puede concluir que esto se debe a que las profesiones legales son un grupo menor susceptible a ser influenciado emocionalmente que las personas con una profesión no legal. Además, es necesario señalar que los abogados realizaron un análisis exhaustivo de la situación y una consideración detallada de las posibilidades en este asunto.

Figura 7.4

Respuestas según la profesión

/2619-4066-raju-18-37-203-gf9.png

Fuente: elaboración propia.

En mi opinión, esta relación puede deberse a la naturaleza de la profesión legal. Las personas que ejercen esta profesión deben ser en cierta medida resistentes a los efectos de diversos factores distractivos, y las emociones son uno de ellos. La significancia estadística es p = 0,04 entre la profesión (legal/no legal) y la opinión sobre la culpabilidad/inocencia de la persona presentada. Existe una correlación débil entre las variables (V = 0,39).

Además, la profesión tiene un impacto en la discrepancia de las respuestas de los encuestados. En los grupos de profesionales del derecho existe una tendencia a dar una justificación más detallada del juicio. Además, al comparar los resultados de los grupos se puede notar que los profesionales del derecho tenían más inclinación a proponer una pena específica (por ejemplo, ocho años de prisión) y hacer referencia a un artículo de ley en concreto. Los grupos de profesiones no legales indicaron diversas penas y no se refirieron a artículos de ley. También utilizaron muchas frases como “me parece”, “en mi opinión”, lo que sugería un enfoque intuitivo del asunto. Probablemente esa sea la razón por la que se produce una mayor discrepancia en la pena propuesta en las respuestas de personas con profesiones no legales.

Figura 7.5

Respuestas según los abogados y los entrevistados con profesiones no legales

2619-4066-raju-18-37-203-gf10.png

Fuente: elaboración propia.

Conclusiones

El objetivo principal de este trabajo fue explorar el impacto emocional en el proceso de toma de decisiones. Se demostró que, sin duda, tienen una relación inherente con la toma de decisiones, lo cual también fue confirmado por los resultados del estudio. Esta correlación tiene dos caras.

El trabajo también presenta tipos básicos del proceso de toma de decisiones y su división. Uno de los enfoques presentados está estrictamente relacionado con la naturaleza psíquica del ser humano. Es natural que las emociones participen en ello. La reflexión de la correlación presentada se puede encontrar en los resultados de la investigación realizada para los propósitos de este artículo. Los resultados muestran diferencias notables entre las respuestas que dependen en su mayoría de la edad, el género y la ocupación.

El tema de las emociones y el proceso de toma de decisiones sigue siendo un punto de investigación actual que se realiza principalmente en Estados Unidos. Sin embargo, el resto del mundo comienza a notar esa correlación y los beneficios y las posibilidades de utilizarla.

[1] Preparation of the article was financed under the project “Motivational basis of law. Contemporary interpretation of Leon Petrażycki’s theory” (grant NCN 2019/33/B/HS5/01521). El presente artículo fue traducido al español por el editor de Ratio Juris, José Fernando Valencia Grajales.