ARTÍCULOS

doi: 10.24142/rvc.n21a4

 

La Pobreza Multidimensional y su relación con el espacio: Caso de estudio para Colombia

 

Multidimensional Poverty and its Relationship with Space: Case Study for Colombia

 

 

 

Julián Alberto Gutiérrez Economista, Magíster en Ciencias Económicas; Estudiante de Doctorado en Economía y Finanzas. Docente Universidad El Bosque. Correo electrónico: julkeled@hotmail.com
Nicolás Cortés Wilches Profesional en Negocios Internacionales de la Universidad El Bosque. Correo electrónico: ncortesc@unbosque.edu.co
Carlos Javier Montaña Londoño Profesional en Negocios Internacionales de la Universidad El Bosque. Correo electrónico: cmontanom@unbosque.edu.co

 

Recibido: 01/11/2019
Aceptado: 25/04/2020

 


Resumen

Este documento presenta los hallazgos de una investigación con la que se buscó establecer las relaciones de dependencia espacial de la pobreza a nivel del indicador departamental, de las cabeceras y de centros poblados y rural disperso en el país del índice de pobreza multidimensional. Estas se midieron a través del cálculo del estadístico de la I de Moran a niveles global y local. De igual manera, los indicadores estadísticos abordados permitieron establecer clústeres de pobreza para determinar si existían efectos de contagio en dichos indicadores. Los resultados obtenidos muestran una evidencia significativa de dependencia espacial para los tres niveles de desagregación mencionados, con lo cual se muestra que la ubicación geográfica es fundamental para la determinación de la pobreza multidimensional del país. Es decir, el hecho de que un departamento cuente con vecinos que ostenten niveles altos o bajos de pobreza es un determinante fundamental para sus propios indicadores como resultado de las dotaciones naturales de factores, de externalidades, o de una combinación de ambas.

Palabras clave: Pobreza; I De Moran; Geografía; Procesos espaciales.


Abstract

This paper presents a research regarding the indicators about multidimensional poverty of Colombia at the departmental level for 2018, in which an analysis of the relation of poverty in relation to the geographical location was performed. This document establishes the relations of the spatial dependence of poverty at the departmental indicator, of the headers, and populated centers and dispersed rural in the country. This relationship was measured by Moran’s I globally and locally. Tn the same way, the statistician indicators allow to establish poverty clusters to determine if there are contagious effects in those indicators. The results show significant evidence about the spatial dependence for the three levels of disaggregation mentioned, displaying that the geographic location is essential for determining the multidimensional poverty of the country. This means that the fact that a department is close to neighbors with high or low poverty indicators is a major determinant for its own indicators, either as a result of the natural endowments of factors, of externalities, or a combination of both.

Key words: Poverty; Moran’s I; Geography; Spatial Processes


Introducción
1. Referente teórico
2. Revisión de literatura
3. Metodología
4. Datos
5. Resultados
6. Discusión
7. Conclusiones

Notas

Referencias

 

 

Introducción

La pobreza es un problema social de gran magnitud: cuando menos el 10 % de la población mundial vive en la pobreza extrema —definida como vivir con menos de 1,90 d al día—; sin embargo, 3.400.000.000 millones de personas viven en la pobreza en el mundo (se incluye en esa cifra el 10 % mencionado). Es decir, que cerca de la mitad de la población mundial presenta dificultades para cubrir sus necesidades básicas según sus ingresos1 (Banco Mundial, 2018).

Estos estudios son esenciales en Colombia porque el 60 % de los pobres de América Latina se encuentra en solo tres países —Brasil, México y Colombia—. Es importante aclarar que no hablamos de la pobreza solo en términos de frecuencia; también nos referimos a las zonas que generan más pobreza en comparación con el resto del subcontinente. En el caso particular de Colombia, se ha identificado que la distribución de la pobreza de sus habitantes no tiene una relación directa con la cantidad de población en situación de pobreza. Así, por ejemplo, se observa que el segundo departamento del Caribe colombiano con más población en situación de pobreza (886.000) es Atlántico, aun cuando es el más rico de la región. Este solo uno de los ejemplos relevantes en el país (Herrera, 2013).

La medida más común de pobreza en un territorio es el índice de pobreza monetaria, entendida esta última como la insuficiencia de recurso monetario (dinero) para asumir el costo de los mínimos aceptables para vivir —esta medición se realiza por hogar— (Feres y Macero, 2001). Una de las medidas de aparición más reciente es la pobreza multidimensional, esto es, las carencias en el hogar y los individuos en términos de salud, educación y nivel de vida (Programa de las Naciones Unidas para el Desarrollo – PNUD, 2018).

El Departamento Nacional de Estadística (DANE) identificó que, para el año 2018, la pobreza monetaria en Colombia aumentó en un 0,1 %; y la multidimensional, en 1,8 %. Es decir, en Colombia la pobreza monetaria refiere a 13.073.000 personas (27 % de la población del país), esto es, un aumento de 190.000 ciudadanos en comparación con el año 2016. Estos valores surgen al establecer el estándar de $ 257.433 por persona como línea de pobreza a nivel nacional. El DANE también estableció la desigualdad en el ingreso por hogares, conocido como Coeficiente Gini, en 0,517 en el año 2018, que corresponde a un incremento frente al 2016 (0,508) (DANE, 2019a; 2019b).

Si bien los datos a nivel nacional muestran una realidad desalentadora, para los objetivos de esta investigación es importante observar, por ejemplo, la información delimitada por zonas geográficas. En este sentido, los menores porcentajes de pobreza monetaria (en ciudades) se encuentran en Bucaramanga (1,6 %) y Pereira (1,7 %), mientras que las ciudades con más personas en situación de pobreza monetaria son Quibdó (16,9 %) y Riohacha (16 %) (DANE, 2019a). En cuanto a la tasa de pobreza multidimensional, encontramos que la más alta se presenta en el Caribe (33,5 %); y la menor, en Bogotá (4,3 %) (DANE, 2019b).

Davis (2003) muestra que los estudios sobre la pobreza son importantes, así como la utilización de la metodología para establecer su relevancia en la aplicación de las políticas públicas —relacionada en este caso con la variabilidad de los indicadores de pobreza en la zona a la cual nos referimos—. Aun cuando existen algunos estudios y datos acerca de diversos indicadores de pobreza en las regiones y departamentos de Colombia (Delgado, 2014; López, 2005; Núñez y Ramírez, 2002, entre otros), que mostrando incidencias y demás características de corte descriptivo, no se han desarrollado estimaciones de autocorrelación espacial a partir de las dimensiones del índice de pobreza multidimensional para establecer la manera como la incidencia y la distribución de recursos por parte de las políticas nacionales interfieren en ese indicador. Dado lo anterior, se hace importante establecer una correlación espacial con las diferentes dimensiones de pobreza establecidas por la Organización de Naciones Unidas – ONU a través del índice de pobreza multidimensional (IPM).

 

1. Referente teórico

La pobreza se ha definido a partir de dos vertientes. De un lado, se presenta una postura individualista en la cual el fenómeno se conceptualiza básicamente como individual: hace referencia a los indicadores según los cuales el sujeto no alcanza un umbral de ingreso determinado, o presenta como ausente al menos una de cinco necesidades básicas; esta es una postura centrada en la medición del fenómeno. De otro lado, se encuentra la concepción en la cual la postura es comunitaria, y la pobreza como fenómeno se evalúa a partir de sus características sociales, el efecto que tiene en la comunidad y, por ende, los individuos que la constituyen (Pérez, 2008; Chinchilla et al., 2010). A su turno, organismos multilaterales como la ONU o el Banco Mundial refieren que la pobreza se debe dimensionar como un problema de derechos humanos, pues se manifiesta en diferentes problemáticas sociales como hambre, discriminación, exclusión de la toma de decisiones y representación política y social, y poco o nulo acceso a educación, salud o vivienda (ONU, s. f.).

Teniendo en cuenta dichas posturas se identificó la necesidad de enlazar los indicadores de la pobreza como parte de la perspectiva social como la expuesta por la ONU; así, se han realizado esfuerzos desde el enfoque de la capacidad, reorientando la medición de la pobreza de los ingresos bajos hacia una postura multidimensional, que permite trascender de la perspectiva de la pobreza basada en ingresos a una que combina estas mediciones con los indicadores de derechos humanos (ONU, 2004). Con base en esta postura, el PNUD (s. f.) presentó en el año 2010 una nueva medida para los indicadores de pobreza que entraría en el ámbito global, principalmente en los países en vías de desarrollo: el IPM, producto del trabajo conjunto entre esta institución y la Oxford Poverty & Human Development Initiative (Iniciativa de Pobreza y Desarrollo Humano de Oxford). Este se caracteriza por utilizar microdatos de una única encuesta acerca de diferentes elementos en los hogares y establece la pobreza de cada miembro de la familia según las carencias que el individuo presenta en el hogar. Este índice muestra las carencias y su nivel, y sus creadores afirman que debe utilizarse como complemento a las herramientas de medición de la pobreza basadas en los ingresos, mas no como su reemplazo.

El IPM establece los indicadores de la pobreza a través de cinco dimensiones: condiciones educativas del hogar; condiciones de la niñez y la juventud; trabajo; salud, y condiciones de la vivienda y acceso a servicios públicos. Estas reúnen quince indicadores, cada uno de los cuales tiene un umbral definido: de no ser alcanzado por el hogar, todos sus miembros se consideran privados de dicha condición. En caso de que un hogar esté privado de la tercera parte de los indicadores, todos los miembros se consideran en situación de pobreza multidimensional (Alkire, 2013).

En el año 2018, el PNUD presentó el Informe Sobre Desarrollo Humano. Desde entonces se adicionan dos indicadores para evaluar el progreso en el desarrollo humano: el índice de desarrollo humano ajustado por la desigualdad (IDH-D) y el índice de desarrollo de género. Sin embargo, desde el año 2010 se ha mantenido el IPM, hecho que demuestra su importancia. Los datos más recientes respecto del ámbito global muestran que en el año 2015, a partir de la evaluación del 75 % de las personas del mundo (mediciones de 101 países en desarrollo), se estableció que el 29 % de la población había vivido en situación de pobreza durante los diez años previos (PNUD, 2015).

En Colombia se aprobó y autorizó la utilización del IPM a partir del 2012, momento en que se autorizó la transferencia de la metodología al Departamento Nacional de Planeación (DNP) para que comenzara a diseñarse la metodología de medición; sin embargo, el DANE asumió dicha labor. Aunque se utilizó la misma metodología que el PNUD introdujo en el 2010, en la mayoría de las ocasiones las dimensiones se mantienen entre los países, pero algunos de los indicadores cambian en función del contexto (DANE, 2019b).

Para el diseño del IPM se establecen procesos diferentes en cada país, según sus procesos legales y administrativos, y sus condiciones particulares. Para la implementación de esta medida deben establecerse al menos tres frentes: el primero, conceptual, corresponde a la correcta aplicación y desarrollo del método de medición, sin que se genere un índice diferente al planteado por los organismos internacionales; el segundo, de las políticas públicas, busca garantizar que el índice se desarrolle en función con las prioridades políticas (en el caso de Colombia se vincula con el Plan Nacional de Desarrollo); y el tercero, estadístico, hace referencia a los análisis de la disciplina para obtener la información adecuada. Como se ha establecido en apartados previos, la medición de este indicador está en función de generar acciones de mejora, por lo cual, si el país lo requiere, debe diseñarse una arquitectura institucional que cumpla estos objetivos (Ángulo, 2016).

Para Colombia se mantienen las dimensiones planteadas por el PNUD; sin embargo, ostenta especificidades en función de las características del Plan Nacional de Desarrollo del 2010. Se establecen entonces los siguientes indicadores y mecanismos de medida (Alkire, 2013; DNP, 2011b)2 :

• Condiciones educativas

- Nivel educativo: años promedio aprobados de educación en población de 15 a 24 años (línea de base 9,15 %).
- Alfabetismo: tasa de analfabetismo en mayores de 15 años (línea de base 6,70 %).

• Niñez y adolescencia

- Asistencia escolar: tasa de cobertura bruta (línea de base 79,27 %).
- Al nivel correspondiente: tasa de deserción intraanual en preescolar, básica y media (línea de base 5,15 %).
- Acceso a servicios para niños: acceso a servicios para la primera infancia (sin línea de base).
- No trabajo infantil: porcentaje de personas menores a 17 años fuera del mercado laboral (línea de base 1.718.153).

• Trabajo

- Ausencia de desempleo de largo plazo: tasa de desempleo total nacional (línea de base 12 %).
- Trabajo formal: porcentaje de afiliados al sistema de pensiones (línea de base 32 %).

• Salud

- Cobertura: afiliados al régimen contributivo y cobertura del régimen subsidiado (línea de base 18.116.769 y 90,27 %).
- Acceso a servicios de salud ante una necesidad.

• Vivienda y servicios públicos

- Agua potable: porcentaje de cobertura (línea de base 91,79 %).
- Saneamiento: porcentaje de cobertura (línea de base 87,48 %).
- Pisos adecuados: porcentaje de hogares con carencias en los materiales (línea de base 9,4 %).
- Paredes exteriores adecuadas: porcentaje de hogares con carencias en los materiales (línea de base 9,4 %).
- No hacinamiento: porcentaje de hogares en hacinamiento crítico – más de tres personas por habitación (línea de base 12,5 %).

• Línea de pobreza: 33 %. Esto quiere decir que el incumplimiento de 5 de los 15 indicadores basta para ser clasificado bajo la línea de pobreza.

Para la recolección de estos datos y el análisis de la información obtenida se utilizan diferentes fuentes, así como diferentes instituciones y estructuras gubernamentales. Así, el Informe de la Pobreza Multidimensional en Colombia (DANE, 2019b) utiliza la base de empalme de la Mesep, la Gran Encuesta Integrada de Hogares, la Encuesta de Ingresos y Gastos 2006-2007 y las Series de Población. Otras fuentes utilizadas son la Encuesta Longitudinal Colombiana de la Universidad de los Andes y el Índice Departamental de Competitividad del Consejo Privado de Competitividad, gestionado en conjunto por Departamento Nacional de Planeación (DNP) y el DANE (Angulo, 2016; DANE, 2019b).

Toda investigación y sus datos han de tener por objetivo aportar a la sociedad en diferentes niveles. En el caso particular de la pobreza, los niveles de aporte que se dan desde los estudios al respecto deben trascender su mera descripción para llegar, cuando menos, a la generación de políticas públicas (Comisión Económica para América Latina y el Caribe – Cepal, 2010). Con base en esto, Pérez (2005) refiere que la delimitación de las zonas de pobreza y el análisis de las variables que relacionan el lugar y la zona geográfica sirven para modificar las características posibles y necesarias, y generar usufructo a dichas zonas al responder a las necesidades de cada espacio geográfico para formular políticas públicas y privadas eficientes.

Las investigaciones frente a las realidades económicas según la geografía orientan no solo la distribución de los recursos y la generación de las políticas públicas: también deben apuntar al conocimiento de las realidades de las instituciones delimitadas por la geografía. Es allí donde el sector privado puede ser potencializado a partir de las políticas orientadas de forma diferencial, haciendo énfasis en la incidencia y la generación de la pobreza en las zonas (Acemoglu y Robinson, 2012). Así mismo, y como se ha dicho, las políticas orientadas a la geografía de la pobreza permiten establecer mecanismos de asignación de recursos eficientes, al tiempo que hacen posible construir alianzas público-privadas y gestionar las agendas internacionales para la cooperación y el comercio que beneficien a las zonas en particular y a la economía del país (Herrera, 2013).

 

2. Revisión de literatura

Se han realizado diversos estudios respecto a la ubicación geográfica de la pobreza en algunos países, lo mismo que a su relación con las características y el desarrollo económico del país y la zona. Muchos de estos trabajos han sido motivados por la crisis económica internacional acaecida en 2010, que ubicó la desigualdad en los ingresos como tema de gran relevancia en los círculos académicos y sociales; se han referido, además, a algunos de los elementos que la Organización para la Cooperación y el Desarrollo Económicos (OECD) en el 2007 (citada por Keeley, 2015) situó como uno de los temas más importantes: la distribución igualitaria de las riquezas para los miembros de la sociedad. La mayoría de los estudios al respecto han concluido que las políticas públicas se diseñan de modo focalizado para mejorar esta condición; sin embargo, estas funcionan de forma paralela al desempeño económico de las regiones y, por ende, no tienen el impacto que deberían, pues no cumplen con el objetivo de generar más empleabilidad y, derivado de ello, los indicadores de pobreza no disminuyen de una forma estable ni permanente (Campos y Monroy-Gómez-Franco, 2016).

Algunos estudios descomponen los indicadores de pobreza o crecimiento económico para identificar cómo se relaciona la zona del país con dichos indicadores. Sobre ello, Campos y Monroy-Gómez-Franco (2016) hallan como un dato muy relevante que el crecimiento económico de México es heterogéneo para la comparación de los diferentes estados: han encontrado que durante el período 2000-2013 algunos de ellos presentaron un crecimiento económico sostenido, mientras otros se contrajeron a pesar de haber respondido, en teoría, a la misma política y dinámica estatal.

Otras investigaciones, como la de Aguilar (2016), también adelantada en México, en el han encontrado que la pobreza se concentra en la región sur-sureste. Empero, en esa investigación también se habla del desarrollo económico: se establecen las características del mismo asociadas a la producción, el nivel de ingreso y el progreso tecnológico, manejando de forma paralela el desarrollo social en relación con la disponibilidad de servicios para el ciudadano. Con ello, el autor encuentra que hay una concentración muy superior y desigual, que favorece las regiones del centro y norte del país. Ese desbalance se debe a que, de un lado, las políticas gubernamentales en la distribución de los recursos no han devenido en el desarrollo de infraestructura en la región sur asociada a la importancia para el capital internacional (salvo en zonas turísticas como Cancún, entre otras); y de otro, a la falta de capital propio para desarrollar modelos de apertura y crecimiento económico, en los cuales sí han podido insertarse las regiones centro y norte.

Estudios adelantados en otras regiones de Latinoamérica se enfocan en la desigualdad, para lo cual el coeficiente de Gini es la medida predilecta y adecuada. En Chile, Agostini y Brown (2007) realizaron las comparaciones de distribución de coeficientes de Gini comunales con el nacional; encontraron que las comunas ostentan niveles de desigualdad menores que el nacional. Frente a esto comentan los autores que, al hacer un contraste entre sus hallazgos y estudios realizados en otros países (Ecuador, Madagascar y Mozambique, entre otros), se muestra que las comunidades pequeñas entre sí ostentan un grado de similitud superior al que pudiera percibirse si se abordara la desigualdad de un país, o de regiones extensas. En la misma investigación muestran un alto grado de dispersión geográfica en los niveles de desigualdad, de lo que se puede asumir que existe una distribución focalizada de los recursos por las zonas del país y, por ende, se deben evaluar las políticas públicas que tienen por objetivo la reducción de la pobreza, la desigualdad y la distribución de la riqueza para generar mayor equidad.

En consonancia con lo anterior, Agostini y Brown (2007) concluyen que se deben adelantar investigaciones en el ámbito local, no solo regionales o entre países, pues la literatura ha mostrado que una de las explicaciones relacionadas con la distribución de la riqueza y, por ende, de la pobreza a nivel geográfico está demarcada por el trabajo de los grupos de más riqueza para interferir con la distribución del gasto público, disminuyendo las tasas de impuestos en zonas específicas que los cobijan con beneficios.

En el año 2005, Pérez realizó un trabajo auspiciado por el Banco de la República de Colombia, con el objetivo de resaltar el papel de las variables geográficas en la explicación de la pobreza por departamentos y municipios en el país. Durante el desarrollo de esa investigación se identificó que se habían realizado algunos estudios en esta misma línea: en ellos se abordaban aspectos diversos bajo las formas de análisis descriptivos y de distribución geográfica de la pobreza, lo que no hacía posible componer análisis concluyentes en términos de una interacción entre las variables (Pérez, 2005).

Parte de estos estudios muestra la importancia de los análisis geográficos al establecer relaciones importantes de las zonas, así como algunas interacciones con los indicadores de pobreza e ingreso de los ciudadanos. Algunas de estas relaciones se pueden encontrar en reportes de instituciones gubernamentales como el DANE: según la entidad, la ciudad con menor pobreza monetaria porcentual durante 2018 fue Manizales (11,9 %), seguida de Bogotá (12,4 %); aquellas que ostentaron los mayores valores fueron Quibdó, Riohacha, Cúcuta, Valledupar y Santa Marta (DANE, 2019a). Otros datos analizables en relación con la pobreza monetaria son los incrementos: en 2018, las ciudades de mayor crecimiento en pobreza monetaria fueron Pasto, Cúcuta y Bucaramanga (DANE, 2019a). Dado el carácter fronterizo de esos lugares, algunos sostienen que ese aumento se debe a la diáspora venezolana actual, y asumen con ello que el incremento de personas en un espacio geográfico contribuye de forma directa a la disminución de recursos económicos para la población que habita en él (Revista Dinero, 2019).

El establecimiento de la relación entre la zona geográfica y los indicadores de pobreza es fundamental en el presente trabajo, a tal punto que se lo considera uno de sus objetivos. En ese sentido, uno de los temas de estudio más importantes corresponde a las comparaciones de pobreza y pobreza extrema entre zonas rurales y urbanas. Los datos obtenidos por la Misión para el Empalme de las Series de Empleo, Pobreza y Desigualdad (Mesep) muestran sobre ese particular que la pobreza y pobreza extrema en las zonas rurales es de 46,1 % y 22,1 %; mientras que en zonas urbanas asciende a 30,3 % y 7 % (Parra-Peña et al., 2013). Al comparar las diferencias entre las cabeceras municipales y los centros poblados y rurales, los datos muestran diferencias significativas que deben considerarse importantes y, en parte, justifican nuestro trabajo: por ejemplo, el promedio de pobreza monetaria en las cabeceras municipales es de 24,4 %, mientras que en los centros poblados y la ruralidad es de 36,1 % (DANE, 2019a).

El mencionado coeficiente de Gini es otro indicador de aparición frecuente en las discusiones académicas y sociales alrededor de la pobreza. En términos más concretos, se trata de un indicador económico que calcula la desigualdad de ingresos entre ciudadanos de un mismo territorio. Se calcula entre 0 y 1: el primer valor corresponde a la máxima desigualdad; y el segundo indicaría que todos los ciudadanos reciben los mismos ingresos (Medina, 2001). Visto lo anterior, las ciudades de Quibdó y Riohacha son las más desiguales del país; además, se observa un incremento en el total nacional: pasó de 0,508 a 0,517 entre los años 2016 y 2018, lo que evidencia el decremento en el ingreso de los hogares más pobres y más ricos (Revista Dinero, 2019). Al realizar comparaciones entre lo rural y lo urbano se encuentra en lo primero un valor de 0,459, frente a 0,526 en lo segundo; al respecto es importante establecer que el valor inferior en zonas rurales no se debe a que la situación económica sea mejor, sino al hecho de que la prevalencia de la pobreza es mayor en estos lugares, lo que causa menos desigualdad (Parra-Peña et al., 2013).

En la misma línea, al comparar los datos en relación con las cabeceras municipales y los centros poblados y rurales en la pobreza multidimensional encontramos que, si bien el promedio nacional es de 16,9 % de la población, en términos estadísticos se presenta una diferencia significativa entre los dos tipos de zonas: 13,8 % en las cabeceras frente a 39,9 % en los centros poblados y rurales (DANE, 2019b). Esta distinción es aún más importante si se tiene en cuenta que, de acuerdo con el PNUD, solo el 19,1 % de los municipios de Colombia son urbanos, el 27,2 % son rurales y el 53,8 %, mixtos. Para establecer la ruralidad como índice se la toma como un continuo, teniendo en cuenta la densidad poblacional y la distancia a los centros poblados (Parra-Peña et al., 2013).

Los incrementos o permanencias del fenómeno observado en cuanto a la pobreza en las zonas rurales son producto de muchas variables. No obstante, entre ellas merece destacarse la presencia de trampas de pobreza: las políticas públicas no muestran una discriminación adecuada de las diferencias entre lo urbano y lo rural para modificar las prácticas de producción o mejorar los niveles de educación, principales responsables de la permanencia de dichos elementos (DNP, 2011a). Frente a ello hemos de analizar no solo las diferencias entre lo urbano y lo rural, sino también las diferencias dentro de cada uno de estos ámbitos, en aras de combatir la pobreza con base en las características de cada región y zona en particular (Herrera, 2013).

 

3. Metodología

La investigación mostrada aquí es de tipo aplicado, dado que el ámbito se encuentra bien delimitado y es netamente específico. De igual manera, su nivel de profundización la hace descriptiva, puesto que lo plasmado en este escrito permite conocer el fenómeno analizado, al tiempo que mide sus características y observa su configuración y el proceso que lo compone. El enfoque del trabajo es correlacional, ya que establece si existen evidencias acerca de dependencia espacial en las medidas del IPM en los departamentos de Colombia, datos que se han recolectado como variables cuantitativas de corte transversal, con las cuales se obtiene un mayor grado de control e inferencia.

 

4. Datos

Para la recolección de los datos se tomaron como fuentes las principales entidades nacionales en función de cada propósito específico. Así entonces, en términos de variables socioeconómicas se tomó la información suministrada por el DANE en torno a las estadísticas de pobreza multidimensional en Colombia para el año 2018 (información más reciente publicada); y con respecto a la información espacial, se empleó la cartografía del Instituto Geográfico Agustín Codazzi (IGAC).


TABLA 1. Índice de Moran

Departamento Total Cabeceras Centros poblados y rural disperso
Amazonas 34,9 25,1 40,1
Antioquia 17,1 11,8 36,8
Arauca 31,8 29,3 36,3
Atlántico 20,1 19 43,9
Bogotá D. C. 4,4 4,3 19,2
Bolívar 32,4 26,3 53,9
Boyacá 16,6 8,9 27,4
Caldas 15,3 10,7 27,4
Caquetá 28,7 21,3 40
Casanare 19,1 14,8 31,9
Cauca 28,7 13,4 39
Cesar 33,2 26,7 53,5
Chocó 45,1 29,9 59,6
Córdoba 36,7 23,3 51,9
Cundinamarca 11,5 7,7 19,8
Guainía 65 46,9 72,7
Guaviare 33,5 27,3 42,9
Huila 19,2 12,2 29,5
La Guajira 51,4 34,1 72,5
Magdalena 38,6 33,2 54,4
Meta 15,6 10,7 31,6
Nariño 33,5 23,4 43,7
Norte de Santander 31,5 27,2 47,7
Putumayo 25,1 19,2 31
Quindío 16,2 15 25,7
Risaralda 12,5 7,3 31,6
San Andrés 8,9 8,9
Santander 12,9 8,3 27,7
Sucre 39,7 30,9 58,5
Tolima 23,5 12,6 47,8
Valle del Cauca 13,6 12,3 22,3
Vaupés 59,4 28,2 78,8
Vichada 55 39,7 67,3

Fuente: elaboración propia con base en datos del DANE (2019).



Figura 1. Pobreza multidimensional, 2018 (elaboración propia con base en DANE, 2019)
icon



Figura 2. Mapa de la pobreza multidimensional, 2018 (elaboración propia con base en DANE, 2019)
icon

Fuente: Elaboración propia con base en DANE, 2019


Para el año 2018, en el total nacional, el porcentaje de personas en situación de pobreza multidimensional fue del 19,6 %. Por una parte, los departamentos que presentaron mayor nivel de incidencia de la pobreza multidimensional en cada región fueron Guainía, con 65,0 % para la región Orinoquía-Amazonía; La Guajira, con 51,4 % para la región Caribe; Chocó, con 45,1 % para la región Pacífico (sin incluir Valle del Cauca); Norte de Santander, con 31,5 % para la región Oriental; y Caquetá, con 28,7% para la región Central. En contraste, los departamentos que presentaron los menores niveles fueron Bogotá D. C., con 4,4 %; el departamento región San Andrés, con 8,9 %; Cundinamarca, con 11,5 % para la región Oriental; Risaralda, con 12,5 % para la región Central; el departamento-región Valle del Cauca, con 13,6 %; el departamento-región Antioquia, con 17,1 %; Casanare, con 19,1 % para la región Orinoquía-Amazonía; Atlántico, con 20,1% para la región Caribe; y Cauca, con 28,7 % para la región Pacífico (sin incluir Valle del Cauca).

La desagregación del IPM permite identificar las desigualdades de las condiciones entre los dominios cabeceras y centros poblados y rural disperso en cada departamento. El mapa que se presenta a continuación (figura 3) presenta la incidencia de la pobreza multidimensional para las cabeceras de cada departamento del país. A este respecto, los departamentos que presentaron mayores incidencias de la pobreza multidimensional fueron Guainía (46,9 %), Vichada (39,7 %), La Guajira (34,1 %), Magdalena (33,2 %) y Sucre con (30,9 %). Los departamentos que enfrentaron menor incidencia de la pobreza en sus cabeceras fueron Risaralda (7,3 %), Cundinamarca (7,7 %), Santander (8,3 %) y San Andrés (8,9 %). Por su parte, Bogotá D. C. registró una incidencia de 4,3% (Figura 3).

En la figura 4, a su turno, se muestra la incidencia de la pobreza multidimensional para los centros poblados y rural disperso de cada departamento de Colombia. Aquellos que presentaron mayores incidencias de la pobreza multidimensional en este dominio de estudio fueron Vaupés (78,8 %), Guainía (72,7 %), La Guajira (72,5 %), Vichada (67,3 %) y Chocó (59,6 %). Los departamentos que enfrentaron menor incidencia de la pobreza en sus centros poblados y rural disperso fueron Cundinamarca (19,8 %), Valle del Cauca (22,3 %), Quindío (25,7 %) y Boyacá (27,4 %). Bogotá D. C. presentó una incidencia de 19,2%.


Figura 3. Incidencia de la pobreza por IPM (porcentaje) en las cabeceras de los departamentos, 2018
icon

Fuente: Elaboración propia con base en información arrojada por la aplicación ArcMap.



Figura 4. Incidencia de la pobreza por IPM (porcentaje), centros poblados y rural disperso de los departamentos, 2018
icon

Fuente: Elaboración propia con base en información arrojada por la aplicación ArcMap.


 

5. Resultados

Con el fin de determinar si existe autocorrelación espacial (AE) en los departamentos de Colombia en lo referido a la pobreza multidimensional, partiremos de definirla: esta determina el grado en que, para este caso, los departamentos presentan datos similares a los de aquellas unidades geográficas próximas a sí mismos, y si se ajusta el comportamiento de la variable “pobreza multidimensional” (PM) al principio de Tobbler, según el cual “en el espacio geográfico todo se encuentra relacionado con todo, pero los espacios más cercanos están más relacionados entre sí que con los más alejados” (Martori et al., 2008).

Para ello, se estima la I de Moran, la cual nos permite medir la AE mediante las ubicaciones y los valores de las entidades de forma simultánea. Dado el conjunto de departamentos del país con sus respectivas localizaciones geográficas y para cada uno de ellos un porcentaje de PM asociado, esta evalúa si el patrón expresado está agrupado, disperso o es aleatorio.

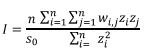
El Índice de Moran para detectar AE viene dado por:


icon


Donde zi es la desviación de un atributo con una característica i de su media (xi – X); wi,j es el peso espacial de las características i y j; n es igual al número total de las características, y s0 es el agregado de pesos espaciales.


icon


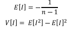
El puntaje zI para la estadística se computa de la siguiente manera:


icon


Donde:


icon


Dicho valor se distribuye como se muestra en la figura 5.


Figura 5. Distribución de la I de Moran
icon

Fuente: Elaboración propia con base en información arrojada por la aplicación ArcMap


Se analizó en principio el índice de Moran para el indicador de la pobreza multidimensional respecto del valor departamental, y de las cabeceras, y para centros poblados y rural disperso; dentro de él,

si los valores en el dataset tienden a agruparse espacialmente (los valores altos se agrupan cerca de otros valores altos; los valores bajos se agrupan cerca de otros valores bajos), el Índice de Moran será positivo. Cuando los valores altos rechazan otros valores altos y tienden a estar cerca de valores bajos, el índice será negativo. Si los valores positivos de los productos cruzados equilibran los valores negativos de los productos cruzados, el índice será cercano a cero. El numerador está normalizado por la varianza de modo que los valores del Índice oscilan entre -1,0 y +1,0. (Environmental Systems Research Institute – ESRI, 2018)


TABLA 2. Índice de Moran

Total Cabeceras Centros poblados y rural disperso
Índice de Moran 0,553192 0,532249 0,720754
Índice esperado -0,011765 -0,011765 -0,011765
Varianza 0,011968 0,006336 0,006357
Puntuación Z 5,164,306 6,834,279 9,187,355
Valor de P 0,000000 0,000000 0,000000

Fuente: elaboración propia con información arrojada por la aplicación ArcMap.


Es fundamental entender que los resultados del índice de Moran para cada uno de los casos arrojan valores positivos. Esto indica que los departamentos con valores altos en pobreza multidimensional se encuentran con vecindad de valores altos, así como aquellos con valores bajos se encuentran rodeados de valores bajos. No obstante, dado que este índice es una estadística deductiva, solo se puede interpretar “dentro del contexto de la hipótesis nula” (ESRI, 2018): esta última establece que “el atributo que se analiza está distribuido en forma aleatoria entre las entidades del área de estudio; es decir, los procesos espaciales que promueven el patrón de valores observado constituyen una opción aleatoria” (ESRI, 2018).

No obstante lo anterior, dado que tanto el valor P es estadísticamente significativo y la puntuación Z es positiva, se rechaza la hipótesis nula. “La distribución espacial de los valores altos y los valores bajos en el dataset está más agrupada espacialmente de lo que se esperaría si los procesos espaciales subyacentes fueran aleatorios” (ESRI, 2018). En cuanto a cada uno de los casos en el orden descrito, dado que el puntaje Z es de 5,164306, 6,834279 y 9,18735481166, existe una probabilidad de menos del 1 % de que este patrón agrupado pudiera ser el resultado de una probabilidad aleatoria.

Con el fin de identificar clústeres espaciales de las entidades con valores altos o bajos se realizó un análisis de clúster y de valores atípicos para cada uno de los casos; este

calcula un valor I de Moran local, una puntuación Z, un valor P y un código que representa la entidad estadísticamente significativa. Las puntuaciones Z y los valores P representan la significancia estadística de los valores de índice calculados. (ESRI, 2019)


Figura 6. Análisis de clúster y de valores atípicos total departamental, cabeceras y centros poblados y rural disperso
icon

Fuente: Elaboración propia con base en información arrojada por la aplicación ArcMap


 

6. Discusión

Los resultados obtenidos muestran que, pese a los avances en cuanto a reducción de la pobreza en Colombia, la relación entre la pobreza y el espacio geográfico es un factor que no ha mostrado mejora y, más aún, ha desaparecido de la agenda pública. Tanto el análisis realizado como la literatura disponible muestran que esta relación hace presencia tanto para la pobreza monetaria como para las necesidades insatisfechas, los índices de calidad de vida y la pobreza multidimensional.

La relación nombrada relación se torna relevante en los niveles departamental, global y cabecera y centros poblados. En esta línea, resulta fundamental analizar si esta relación permanece en el tiempo a nivel municipal —aspecto que no pudo ser abordado para el 2018, dadas las condiciones de disponibilidad de datos—. Cabe recordar que los resultados del censo poblacional realizado en ese año no han arrojado el nivel de desagregación necesario para realizar un análisis de esa naturaleza, pero cabe la posibilidad de que investigaciones futuras revisen esa correspondencia; con ello se harían contribuciones importantes a la política pública, tanto en el ámbito nacional como en todos los niveles de desagregación geográfica.

7. Conclusiones

La evolución de la pobreza en Colombia continúa presentando dependencia espacial a nivel departamental. Es posible afirmar, entonces, que la ubicación geográfica es determinante en los niveles de la pobreza multidimensional del país, es decir, las condiciones de los departamentos vecinos influyen fuertemente en la determinación de las condiciones de cada departamento, tanto para el orden de cabeceras como para el de rural disperso y centros poblados (el cual presenta un mayor grado de dependencia), con lo que se cumple el mencionado principio de Tobbler.

Al realizar el análisis de clúster y de valores atípicos se determinaron clústeres de pobreza. Se encontró con ello que, a nivel nacional, partes de las regiones Orinoquía y Amazonía, presentan un efecto vecindario, lo que implica que los departamentos con altos índices de pobreza se encuentran rodeados de departamentos en igualdad de condiciones. Al realizar dicho proceso a nivel cabecera se encontró que la región Caribe también ostenta ese fenómeno de contagio, y que este permanece y se torna mayor si se analiza a nivel de ruralidad y centros poblados. Cabe destacar que, para este nivel de desagregación, la región de la Orinoquia no presenta dicho comportamiento.

Los análisis mostrados permiten entender la pobreza desde diferentes perspectivas, con lo que contribuyen a lograr los objetivos en torno a ella desde una óptica de distribución y caracterización del fenómeno, aspecto fundamental en la construcción de una política pública que permita una adecuada focalización de las políticas y recursos.

 


 

Notas

1 El Banco Mundial maneja indicadores diferentes de pobreza según la zona y capacidad económica del país; por ejemplo los países con ingreso mediano bajo la pobreza está demarcada con un 3,20 USD al día; mientras que en los países con ingreso mediano alto este límite está en 5,50 USD (Banco Mundial, 2018).

2 Las líneas de base presentadas aquí corresponden al año 2009, según los indicadores establecidos por las diferentes instituciones gubernamentales que participaron en el diseño y planeación de la medida del IPM.

 


 

Referencias

Agostini, C. y Brown, P. (2007). Desigualdad Geográfica en Chile. Revista de Análisis Económico, 22(1), 3-33.

Aguilar, T. (2016). Desigualdad y marginación en Chiapas. Península, XI(2), 143-159.

Angulo, R. (2016). From multidimensional poverty measurement to multisector public policy for poverty reduction: lessons from the Colombian case. OPHI Working Paper 102. Consultado en https://www.ophi.org.uk/wp-content/uploads/OPHIWP102_1.pdf

Acemoglu, A. y Robinson, J. (2012). Por qué fracasan los países: Los orígenes del poder, la prosperidad y la pobreza. España: Deusto.

Alkire, S. (2013). Aspectos Normativos en Pobreza Multidimensional. Colombia: Oxford Poverty & Human Development Initiative.

Banco Mundial (2018). Poverty and Shared Prosperity 2018: Piecing Together the Poverty Puzzle. Estados Unidos: World Bank Group.

Campos, R. y Monroy-Gómez-Franco, L. (2016). La relación entre crecimiento económico y pobreza en México. Investigación Económica. 75 (298): 77-113. Disponible en: http://www.sciencedirect.com/scien-ce/article/pii/S0185166716300431

Comisión Económica para América Latina – Cepal (2010). La hora de la igualdad: Brechas por cerrar, Caminos por Abrir. Trigésimo tercer periodo de sesiones de la Cepal, Brasilia (Brasil). Chile: Cepal.

Chinchilla, F., Parra, O. y Cáceres, L. (2010). Pobreza y Derechos Humanos: hacia la definición de parámetros conceptuales desde la doctrina y acciones del Sistema Interamericano. Costa Rica: IIDH.

Davis, B. (2003). Choosing a Method for Poverty Mapping, Food and Agriculture. Italia: ONU.

Delgado, P. (2014). Incidencia de la pobreza en Colombia: un análisis para los municipios del Andén Pacífico. [tesis de grado, Universidad del Valle]. http://bibliotecadigital.univalle.edu.co/bitstream/10893/7145/1/0461996-p.pdf

Departamento Administrativo Nacional de Estadística – DANE (2019a). Pobreza Monetaria en Colombia. Año 2018. Colombia: DANE.

Departamento Administrativo Nacional de Estadística – DANE (2019b). Pobreza Multidimensional en Colombia. Año 2018. Colombia: DANE.

Departamento Nacional de Planeación (2011a). Índice de Pobreza Multidimensional (IPM-Colombia) 1997- 2010. Colombia: DANE.

Departamento Nacional de Planeación – DNP (2011b). Índice de Pobreza Multidimensional (IPM-Colombia) 1997-2008 y meta del PND para 2014. Colombia: DNP.

Environmental Systems Research Institute – ESRI (2018). Cómo funciona Autocorrelación espacial (I de Moran global). Consultado en https://desktop.arcgis.com/es/arcmap/latest/tools/spatial-statistics-toolbox/h--how-spatial-autocorrelation-moran-s-i-spatial-st.htm

Environmental Systems Research Institute – ESRI (2019). Cómo funciona Análisis de cluster y de valor atípico (I Anselin local de Moran). Consultado en https://desktop.arcgis.com/es/arcmap/latest/tools/spatial-statistics--toolbox/h-how-cluster-and-outlier--analysis-anselin-local-m.htm

Feres, J. y Macero, X. (2001). Enfoques para la medición de la pobreza. Breve revisión de la literatura. Chile: Cepal.

Herrera, F. (2013). La Geografía de la Pobreza en Colombia. Colombia: PNUD.

Keeley, B. (2015). Income Inequality: The Gap Between Rich and Poor. Francia: OECD Publishing.

López, A. (2005). Estado del arte de las investigaciones realizadas sobre pobreza en Colombia durante la última década. Equidad & Desarrollo, 4, 21-29.

Martori J., Hoberg, K. y Madariaga, R. (2008). La incorporación del espacio en los métodos estadísticos: autocorrelación espacial y segregación [ponencia]. X Coloquio Internacional de Geocrítica, Universidad de Barcelona, España. https://www.researchgate.net/publication/286220921_LA_INCORPORACION_DEL_ESPACIO_EN_LOS_METODOS_ESTADISTICOS_AUTOCORRELACION_ESPACIAL_Y_SEGREGACION

Medina, F. (2001). Consideraciones sobre el índice de Gini para medir la concentración del ingreso. Chile: Naciones Unidas/Cepal.

Núñez, J. y Ramírez, J. (2002). Determinantes de la pobreza en Colombia. Años recientes. Colombia: Cepal.

Organización de Naciones Unidas – ONU (2004). Los Derechos Humanos y la Reducción de la Pobreza. Un Marco Conceptual. Estados Unidos y Suiza: ONU

Organización de Naciones Unidas – ONU (s. f.). Objetivos de Desarrollo Sostenible. Estados Unidos: ONU.

Parra-Peña, R., Ordóñez, L. y Acosta, C. (2013). Pobreza, brechas y ruralidad en Colombia. Coyuntura Económica: Investigación Económica y Social, 43(1), 15-36.

Pérez, G. (2005). Dimensión Espacial de la Pobreza en Colombia. Colombia: Banco de la República.

Programa de las Naciones Unidas para el Desarrollo – PNUD (2015). Informe sobre Desarrollo Humano 2015. Trabajo al servicio del desarrollo humano. Nueva York. ONU. Disponible en: http://hdr.undp.org/sites/default/files/2015_human_development_report_overview_-_es.pdf

Programa de las Naciones Unidas para el Desarrollo - PNUD. (2018). Índices e Indicadores de Desarrollo Humano, Actualización Estadística de 2018. Estados Unidos: PNUD.

Programa de las Naciones Unidas para el Desarrollo – PNUD (s. f.). Human Development Reports. ¿Qué es el Índice de Pobreza Multidimensional? Estados Unidos: ONU

Revista Dinero. (2019). ¿Y dónde están los pobres de Colombia? Consultado en https://www.dinero.com/econo-mia/articulo/resultados-de-pobre-za-en-2018-por-regiones-y-ciuda-des/270554