ARTÍCULOS
doi: 10.24142/rvc.n20a2
| Harold Álvarez Álvarez | Docente-investigador. Correo electrónico: haroldalvareza@gmail.com |
1. Introducción
2. El planteamiento de la T3C y algunos de sus retos
3. La huella desde la economía ambiental
hasta la economía ecológica
4. Aportes de investigadores de diversas disciplinas
a la contabilidad ecológica o ecocontabilidad
5. Adaptación de los criterios ecológicos dentro
de la T3C: introducción a la contabilidad ecológica
Conclusiones
El presente trabajo se inserta en el proceso de reflexión realizado en el macroprograma de investigación de la Teoría Tridimensional de la Contabilidad, PIT3C, iniciado en 2011, por el Grupo de Investigación en Contaduría Internacional Comparada (GICIC), de la Universidad del Quindío, Colombia.
Es de conocimiento general que la contabilidad es una disciplina que se ha desarrollado conceptualmente en los últimos cinco siglos, desde la formulación de Pacciolo, fundamentalmente entre el derecho y la economía. Esta dependencia la ha forzado a ser una especie de servidumbre de los intereses dominantes planteados desde esas dos poderosas disciplinas, que la han maniatado para establecer sus propias rutas de identificación, reconocimiento y búsqueda de solución a muchos de los auténticos problemas propios de su dominio que, siendo independiente, podría alcanzar, asumiendo así su propio devenir disciplinar.
De los últimos dos siglos de la tardía reflexión teórica contable, solo en los últimos cincuenta años se ha encontrado la huella de investigaciones que apuntan a la construcción de una ruta independiente para el saber contable, que permite otear un promisorio futuro para enfrentar los problemas de conocimiento propios de su esencia.
El problema de la contabilidad –cuya práctica social es milenaria–, en buena medida, ha sido el no poseer un acumulado teórico contundente que le permita ubicarse como disciplina social, identificando sus auténticos problemas de conocimiento y, por ello, ha caminado como técnica de otros saberes, dependiendo de hipótesis y formulaciones teóricas ajenas, que le han obstaculizado el desarrollo de su capacidad reflexiva y posibilidad de crecimiento autónomo.
Asimismo, la disciplina estuvo, durante tres siglos, al servicio del saber jurídico, y otros dos al de la economía, bajo cuya tutela se desenvuelve aún en los albores del siglo XXI, como flamante técnica informativa de la versión neoclásica de la economía, la más inhumana y explotadora de los recursos de todo tipo: económicos, ecológicos y sociales, y cuya actividad arrolla en beneficio del capitalismo financiarizado, a su vez, la versión más agresiva en la acumulación de riqueza que ha producido este sistema.
Sin embargo, desde la década de 1970, ha surgido un afortunado viraje en la concepción de la contabilidad y su objeto de conocimiento. Los aspectos ecoambientales y los sociales han aparecido en el norte contable, cada vez con más presencia. Lo atestiguan infinidad de escritos académicos, en los que se reclama la necesidad de incursionar, además de en lo jurídico y económico, en diversos aspectos de estas dos nuevas vertientes de conocimiento, desde la mirada contable.
2. El planteamiento de la T3C y algunos de sus retos
El GICIC produjo un artículo titulado “¿Para qué la contabilidad?” (Mejía, Mora y Montes, 2016), donde se realiza un análisis de los fines orientadores propuestos para la contabilidad, en el último siglo y medio, desde Cerboni y Besta, en el siglo XIX, hasta Fronti y García Casella, en el XXI, pasando por Cañibano, Chambers, Calafell, Araújo o Ariza, entre muchos otros. Esta búsqueda permitió identificar 143 fines de la disciplina. El análisis de estos permitió clasificarlos en tres propósitos, según el énfasis del tipo de riqueza, cuya medición, información o control se ha establecido para la disciplina: propósitos económico-financieros, ambientales y sociales.
En esta perspectiva de desarrollo teórico contable, desde 2010, el GICIC ha planteado la siguiente definición para la contabilidad, fruto de sus primeros procesos investigativos:
La contabilidad se define como una ciencia social aplicada, autónoma, que tiene una función y una finalidad articuladas con propósitos sociales –deber ser–, lo que permite describir, explicar, predecir y prescribir la realidad objeto de estudio. La biocontabilidad, la sociocontabilidad y la contabilidad económica son modelos derivados de la contabilidad general. Se ubica, este saber, entre las denominadas ciencias morales, en virtud de su finalidad, que se sustenta en un deber ser valorado éticamente cual es “la acumulación, la generación, la distribución y la sostenibilidad de las riquezas ambiental, social y económica que controlan las organizaciones” (Mejía, 2014, p.107).
En tal sentido, se extiende el cometido de la disciplina hacia la información de tipo particular, según cada una de las tres dimensiones, y se crea una perspectiva de integralidad, como un retador fin informativo último, como es el de conformar la información unificada (de las tres dimensiones), en un nuevo tipo de unidad valorativa, cuya búsqueda está en proceso.
Así explicita el GICIC el fin de la disciplina contable:
“..contribuir a la acumulación, generación, distribución y sustentabilidad integral de la riqueza controlada por la organización”. La riqueza es de tipo ambiental, social y económica, debiéndose presentar información contable sobre todas ellas de forma independiente e integral. La información tradicional sólo ha dado cuenta de la riqueza económica, presentándose un sesgo, parcialización e información incompleta al desconocer los aspectos ambientales y sociales. El ocultamiento de la evaluación de la gestión que la organización ejerce sobre la riqueza ambiental y social, contribuye a la toma de decisiones que no evalúan la totalidad de los impactos que implica un movimiento estratégico de la organización. El reconocimiento exclusivo de los intereses e impactos económicos, ha generado efectos negativos en la riqueza ambiental y social que la contabilidad no ha previsto con anticipación ni ha evaluado por posterioridad al impacto” (Mejía et al., 2016, p. 253).
Con el propósito de avanzar en los procesos de identificación, clasificación, medición e información de la riqueza ecológica (ambiental) y sus variaciones (incrementos y decrementos), se han formulado unos primeros y sencillos modelos matemáticos, con el objetivo de iniciar el que puede ser un largo camino por construir y transitar, para arribar a formulaciones más decantadas, pertinentes y apropiadas que, luego de ser puestas a prueba en los propios terrenos ecoambientales, demuestren su factibilidad y funcionalidad, en el proceso de medición-valoración de la mencionada riqueza ecológica.
Algunas de tales formulaciones se citan a continuación, con el fin de analizarlas y establecer posibles rutas de avance, para alcanzar los objetivos formulados en el PIT3C.
2.1 Medición de la sustentabilidad de la riqueza en la organización
A continuación, se desarrolla el modelo de medición de la sustentabilidad de la riqueza en la organización fase estática-activos (Mejía y Ceballos, 2016):
2.1.1 Medición unidimensional de la riqueza
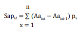
2. 2 Medición de la sustentabilidad unidimensional de la riqueza en los procesos (fase activos)
a. Medición de la sustentabilidad ambiental en un proceso [SapiΔ]: se calcula a través de la sumatoria de la sustentabilidad de cada activo de la riqueza ambiental en el proceso (i), multiplicado por su factor de conversión, medido en un período de tiempo determinado.
(2)
donde:
Aa = activo ambiental
x = cada activo de la riqueza en la dimensión ambiental (x=1…, n)
i = cada proceso (i = 1…, m)
Aaixt = activo ambiental (x) en el tiempo (t) en el proceso (i)
Aaixt-1= activo ambiental (x) en el tiempo (t-1) en el proceso (i)
Px = factor unidimensional de conversión de unidad de cada activo (x)
en la dimensión ambiental de la riqueza en los procesos (Mejía y Ceballos, 2016).
En la ecuación 1, se plantea que la medición de los activos ecológicos (medioambientales) se hace mediante la sumatoria de los recursos una vez se han homogenizado, para convertirlos en elementos de la misma categoría. El problema complejo de esta operación es la obtención de Px , que corresponde a un conjunto de múltiples valores, que permitirán a los miles de recursos naturales vivos e inertes (subclases) convertirse en elementos sumables o computables dentro de la clase Ada. Esto requiere encontrar un denominador común para la multitud de elementos del conjunto de los recursos naturales.
Los recursos ecológicos están agrupados en seis subconjuntos: agua, aire, fauna, flora, suelo y subsuelo (Mejía y Vargas, 2012). Dentro de cada uno de estos subconjuntos van a encontrarse otras agrupaciones más pequeñas, que corresponderán a grupos y subgrupos de menor categoría en la clasificación. Los recursos correspondientes a los seres vivos son los de flora y fauna. Los recursos correspondientes a los elementos inertes son agua, aire, suelo y subsuelo.
Esta referencia a las clasificaciones de los elementos principales y generales del patrimonio ecológico tiene como fin resaltar la complejidad del trabajo que el subprograma de investigación de la contabilidad ecológica se ha propuesto. Por ejemplo, citando tan solo uno de los elementos del árbol filogenético de la vida, en la categoría flora se calcula que existen 298 mil especies vegetales, de las cuales se han identificado 215 mil, lo que significa que el 25 % está sin descubrir y estudiar.
Esta categoría constituye lo que tradicionalmente se conoce como Reino Vegetal, que incluye todos los elementos vitales de la naturaleza vegetal que tienen un denominador común: están compuestos por células eucariotas. Aunque los animales también tienen estas células, en su caso no tienen paredes celulares, pues dentro de estas se encuentran cloroplastos, que contienen clorofila, la cual es responsable de la fotosíntesis. Sin embargo, se calcula que las especies vivas del planeta ascienden a 8,7 millones, y tan solo se han estudiado 1,3 millones, quedando pendiente de estudio y clasificación el 86 %.
Es de advertir que el Departamento Administrativo Nacional de Estadística (DANE) ha desarrollado el Sistema de contabilidad ambiental y económico (SCAE), agenciado desde la ONU, que,
como sistema encaminado a la organización de la información ambiental y económica facilita el análisis de temas relevantes, dentro de los que se incluyen: las tendencias de uso y disponibilidad de recursos naturales y las emisiones y descargas al ambiente como flujos residuales y contaminantes, entre otros. Los registros de la cuenta de activos tienen periodicidad anual, con mediciones en unidades físicas para los activos clasificados como económicamente viables (Departamento Administrativo Nacional de Estadística [DANE], s. f.).
Así, hoy se dispone de datos sobre stocks y flujos de diversos recursos naturales, como bosques, agua, tierra, minerales, entre otros, lo que permite disponer de una excelente base de datos para las investigaciones posteriores.
Los temas y cifras antes mencionados permiten entrever el gran reto que tiene el GICIC, responsable del PIT3C. Abordarlos es el objetivo de la dimensión ecocontable, por supuesto, aprovechando los avances que diversas entidades y disciplinas han realizado, sobre el problema de identificar, clasificar, medir e informar sobre la riqueza ambiental. Si bien tales avances, hasta hoy, no han sido aprovechados por la contabilidad, debido a diferentes causas, algunas de las cuales fueron enunciadas en la introducción de este material, ahora pareciera ser el momento propicio para que se inicie una actividad conjunta entre frentes que apunten a construir una ruta alterna para medir, informar y controlar el patrimonio ecológico.
Por ello, a continuación, se abordará el análisis de diversos trabajos realizados en Europa, Asia y América, incluyendo Colombia, en los que se plantean formulaciones teóricas que ya han sido aplicadas, no en procesos informativos formales contables, sino de control industrial o ecológico, no integrados con los procesos propios de la contabilidad, con el fin de establecer cuáles avances y propuestas pueden ser compatibles con las líneas de investigación que se están formulando en la dimensión ecocontable de la T3C.
3. La huella desde la economía ambiental hasta la economía ecológica
El terreno estudiado es desconocido para la mayoría de los contables. Así, con el propósito de contribuir al proceso investigativo del GICIC, se tratará de seguir la huella de quienes, por fortuna, han avanzado desde otras disciplinas en el tema de la medición-valoración ecológica. “Nadie escribe sin asumir riesgos. Si, en aras de la pureza disciplinar, nos negáramos todos a aventurarnos en las zonas de intersección, donde las delimitaciones científicas tradicionales pierden su vigencia, nunca se abordarían determinados problemas” (Passet, 1996, p. 49, citado por Carpintero, 1999, p. 129).
Desde finales del siglo XVIII, Malthus, en su Primer Ensayo sobre la población 1798, p.56, ya anunciaba futuros problemas sociales por el posible agotamiento de los recursos naturales, debido al incremento de la población en proporción geométrica, mientras que el de los alimentos solo se daba de forma aritmética, y ello en condiciones favorables. En 1972, el Instituto Tecnológico de Massachusets entregó al Club de Roma el estudio “Los límites del crecimiento” (Aizpuru, M. 2002), una de cuyas conclusiones fue que si se mantenían las condiciones de industrialización, contaminación, producción de alimentos, explotación de recursos naturales y crecimiento de la población similares a las de ese tiempo, se alcanzaría el límite soportable de los habitantes de la tierra un siglo después, es decir, para 2070. A todas luces, tal como va el mundo, la previsión tiene visos de cumplirse.
Los primeros pasos en el proceso de pensar los problemas del consumo, agotamiento y afectación de los recursos ecológicos fueron dados por economistas en la primera mitad del siglo XX, Pigou y Coase, entre ellos. Pigou incursionó en el tema de las externalidades producidas como fallos del mercado en la actividad económica y defendió la acción del Estado en defensa de los intereses sociales frente a los privados, recomendando sanciones e impuestos cuando tales externalidades afectaban los intereses sociales. Por su parte, Coase defendió la libre negociación, sin intervención del Estado, en el caso de externalidades, en busca de la eficiencia que se alcanzaría en una negociación entre privados, generalmente sin costos de transacción; sin descartar la intervención estatal cuando los problemas generados por las externalidades no pudieran ser negociados entre privados por circunstancias específicas, como las emisiones de humo, que afectan a amplias capas de la población, lo cual solo puede solucionarse con reglamentaciones públicas (Aguilera y Alcántara, 1994).
La economía ambiental, cuyo desarrollo fue previo y alternativo al de la economía ecológica, fue influenciada por la corriente neoclásica de la economía y uno de los problemas que enfrenta es el de la valoración de los recursos naturales que tienen un valor de uso, pero no un costo de producción y no se transan comúnmente en los mercados. Al respecto, anotan Aguilera y Alcántara (1994):
Una de las cuestiones más de moda, si atendemos a la literatura reciente sobre el tema, es el de la valoración monetaria de los beneficios y costes ambientales. Consecuencia lógica de los supuestos de los que parte la llamada economía ambiental, que no son otros que los de la economía estándar, siendo aquella como es una extensión de esta a un nuevo campo de análisis. No es extraño, que uno de los temas centrales de la economía del medio ambiente sea, justamente, el problema de la valoración p. 21
Tal influencia ha implicado que se pretenda solucionar los problemas de la valoración de los consumos de recursos ambientales y los de la valoración de los deterioros ambientales vía externalidades, entre otros, aplicando las estrategias de valoración para bienes transados en escenarios mercantiles; como no existen transacciones previas de recursos ambientales, se recurre a la simulación de valores monetarios mediante diversas estrategias, como las metodologías de formulación de precios hedónicos, de valor contingente o del costo del viaje.
Los neoclásicos han diseñado varios métodos tipo mercado para valorar los bienes que no pasan por el mercado. Estos métodos tienen una base común, la suposición fundamental de que el valor de todos los bienes se puede expresar en términos monetarios equivalentes, y que ese valor se basa en la utilidad de esos bienes para las personas. Si las personas no determinan un valor de uso o de cambio para un bien, la existencia del mismo carece de importancia (Eberle y Hayden, 1991, p. 200).
La formulación de precios hedónicos está basada en metodologías que simulan escenarios de precios futuros posibles, dependiendo de las variaciones de x variables o atributos para algún renglón de negocios, por ejemplo, el mercado de bienes raíces o el de recursos naturales. La valoración contingente se orienta a simular precios de un bien, basados en posibles respuestas, obtenidas mediante cuestionarios realizados a potenciales consumidores de ese bien que estarían dispuestos a adquirirlo en un futuro, cuando no existen antecedentes de transacciones mercantiles previas de tal bien. Por su parte, la metodología del costo del viaje se aplica en escenarios en los que tampoco se tienen antecedentes de transacciones mercantiles en el tema. Se basa en la simulación de un viaje que se realizaría a algún sitio que tiene un atractivo, por ejemplo, un parque natural, el cual es valorado (valor de uso), dependiendo del número de viajeros y de lo que estos están en disposición de pagar por conocerlo.
Estas metodologías valorativas parten del supuesto de que todo bien apetecido por un posible comprador puede tener un precio de mercado, así este mercado no exista. En tales simulaciones, se incluyen los recursos naturales, los cuales, en el pensamiento económico neoclásico, existen solo para el disfrute de los seres humanos, desconociendo o no importando que los ecosistemas alberguen –como se anotó antes– los reinos eukarya, archaea y bacterias, en donde el hombre, la fauna y la flora son tan solo una pequeña parte de los 8,7 millones de especies vivas que posiblemente se alojen en el planeta tierra.
Por supuesto, con tales orientaciones derivadas de la doctrina económica neoclásica para el tratamiento de los problemas ecológicos desde la economía, el anuncio malthusiano se cumplió, y la predicción del estudio “Los límites del crecimiento” realizado por MIT, resultó muy realista y acertada, según lo que ha ocurrido en el mundo hasta hoy
Frente a esta crisis, había que construir otra forma de estudiar los problemas ecológicos. Esta se estaba buscando desde la década de 1950, pero fue gracias a los aportes del matemático-estadístico y economista rumano Nicolas Georgescu-Roegen, y del economista alemán William Kapp, que surgieron las formulaciones básicas de la economía ecológica, como una reflexión que marcha en contravía de las propuestas neoclásicas que han dominado la economía desde la segunda mitad del siglo XX hasta la actualidad.
Georgescu-Roegen criticó de forma contundente las propuestas de la economía neoclásica, cuya orientación mecanicista suponía el funcionamiento del mundo económico con humanos maquinizados que, como átomos, se mueven automáticamente en busca de la máxima utilidad con el mínimo esfuerzo; y con recursos naturales inacabables y cuyo costo es cero, en escenarios constituidos por mercados eficientes, plenos de precios justos en los que no se considera posible el arbitraje, pues no existen, por principio, los monopolios u oligopolios ni cualquier asimetría que empañe ese mundo perfecto.
Ninguna otra ciencia sino la economía ha sido criticada por sus propios servidores de forma tan abierta y tan incesante. Los motivos de insatisfacción son numerosos, pero el más importante de ellos tiene que ver con la ficción del homo oeconomicus. El principal motivo de queja es que tal ficción despoja a la conducta humana de toda propensión cultural, lo que equivale a decir que, en su vida económica, el hombre actúa mecánicamente (Georgescu-Roegen, 1996, p. 45).
La posición crítica de Georgescu-Roegen le acarreó el desprecio de los economistas neoclásicos, cuyo discurso empezaba a ser dominante en la segunda mitad del siglo XX. Es importante destacar que, por aquel entonces, la contribución del rumano se agregaba a las críticas que algunos economistas de Cambridge habían realizado a la coherencia interna y la fragilidad de la teoría neoclásica, siendo precisamente el año de la publicación de The Entropy Law coincidente con aquella “segunda crisis de la teoría económica” que, por otros motivos, fue anunciada por Joan Robinson al comenzar la década de los setenta (Robinson, 1971)
“En cualquier caso, las opiniones de Georgescu no tuvieron el impacto merecido en la comunidad de los economistas, tal vez porque apuntaban más allá de las acusaciones. Esto es, como su auténtico legado” (Carpintero, 1999, p.140). La importancia del trabajo científico de este extraordinario académico, cuya valía solo fue reconocida por algunos pocos –aunque muy importantes– exponentes del saber económico, como Samuelson y Shumpeter, tuvo que esperar a su fallecimiento, en 1994. Hoy, frente al cambio climático y al dominio de la escuela neoclásica en la economía, quienes están obligados a enaltecer el aporte del genio rumano son aquellos que, desde los nuevos enfoques, aspiran a contribuir a la construcción de una alternativa científico-técnica que propenda por el desarrollo social equilibrado, justo y responsable frente al ecosistema tierra. Al respecto, el profesor Mejía (2015) afirma:
La obra de Georgescu-Roegen desapercibida en la década del setenta constituye un referente obligado en la actualidad para quienes abordan la economía desde concepciones heterodoxas. El respeto por la naturaleza y los derechos humanos genera cuestionamientos importantes a los supuestos en los que se ha soportado la economía clásica, que es acusada de no contemplar las consecuencias ambientales y sociales de sus acciones y omisiones. La obra del autor rumano vincula el saber económico como una prolongación de la biología, en el sentido de que su desarrollo debe consultar las leyes de la naturaleza (p. 174).
La economía ecológica no es una disciplina desarrollada, aún es un intento en formación, donde los aportes mutidisciplinarios están apuntalando un robusto saber, pero que está en construcción. Bresso, citado por Aguilera y Alcántara (1994), anota al respecto: “la economía ecológica está todavía en sus inicios y estamos lejos de haber explorado las consecuencias que este proyecto de autotransformación de la disciplina, que se ocupa con variadas faceta de los problemas ambientales, tendrá sobre el cuerpo teórico de aquella misma disciplina” (p.27).
A su vez, respecto al estado y enfoque de la economía ecológica, afirma Naredo (1992):
En este sentido, la economía ecológica tiene muy poco que ver con la economía ambiental. Mientras que esta última constituye más bien una especialización de la economía neoclásica, basada de hecho en la yuxtaposición de conceptos económicos y ecológicos, la economía ecológica se reclama el objetivo de un enfoque ecointegrador, cuyos fundamentos afectarían al método, al instrumental e incluso al propio estatuto de la economía, al sacarla del universo aislado de los valores de cambio en el que hoy se desenvuelve para hacer de ella obligadamente una disciplina trasdisciplinar (p.377).
Si bien estas posiciones fueron emitidas hace 25 años, este no es un período para fundamentar y desarrollar un conocimiento que apunta a la trasdisciplinariedad, por lo que debe encontrarse, conceptualmente, con diversas y muy formadas ciencias (física, biología, química y la misma ecología, ente otras), cuya actividad, de forma individual y desde sus terrenos, ha avanzado en el estudio de lo ecológico.
Es decir, comienza un planteamiento que hoy, en el siglo XXI, se está desarrollando con empeño: el de mirar integralmente los problemas del mundo y sus habitantes, como en realidad existen y conviven, no de manera fragmentada o como si existiéramos en mundos diferentes, sino comprendiendo que todos los terrestres pertenecemos a un único y gran ecosistema, el del planeta Tierra, y el deber de los seres inteligentes es cuidarlo.
La economía ecológica amplía el campo de estudio de la ciencia económica, pues los bienes o elementos de la naturaleza que componen todos los recursos naturales, identificados como útiles o inútiles para el hombre, públicos o privados, valorados monetariamente o no, son objeto de conocimiento de esta disciplina hasta su destino final, ya sea permanecer en sus ecosistemas o como residuos o desechos, cuando son utilizados. En tanto, la economía estándar, definida por sus formalizadores a finales del siglo XIX,
sólo se ocupa de aquello que, siendo de utilidad directa para los humanos, resulte también apropiable, valorable y productible […] lo cual explica el diálogo de sordos que muchas veces se produce entre economistas y ecologistas: mientras que los primeros circunscriben su razonamiento al oikos más restringido de los valores de cambio, los segundos razonan sobre aquel otro más amplio de la biosfera y los recursos, con independencia de que sean o no valorados (Naredo, 1992, p. 378).
Los planteamientos realizados por diversos investigadores, basados en la perspectiva ecológica, apuntan a desarrollar nuevas metodologías para registrar el estado de los recursos naturales renovables y no renovables, que no están sujetos a valoración mercantil, si bien han sido tomados por el sistema socioeconómico como stocks o fondos, y cuya disposición se ha considerado gratuita e inacabable. Sus propuestas se encaminan a determinar las existencias de tales recursos y los incrementos o disminuciones producto de recuperaciones naturales o artificiales, así como de los consumos humanos o de otras clases. Para la valoración de estos procesos existen propuestas que miden los recursos en unidades físicas, no monetarias, basadas en unidades de energía disponible.
El abordaje de la termodinámica y su segunda ley –la de la entropía– por los ecologistas y economistas es un puente que se tiende entre la física y la economía, y tiene que ver con que la energía utilizable, ya sea en los procesos físicos o en los económicos, es menor que la energía existente en la fuente. De la segunda ley de la termodinámica se deriva lo siguiente: “no es posible diseñar una máquina térmica capaz de convertir todo el calor absorbido en trabajo. El rendimiento de las máquinas siempre es menor del 100 %” (Georgescu-Roegen, 1971, como se citó en Posada, 1999).
El rendimiento de una máquina va a ser menor al 100% de energía que tiene la misma, puesto que el inicio del funcionamiento de aquella requiere un esfuerzo para ponerla en acción, lo que consume algo de esa energía disponible por el roce de los componentes del motor para ponerse en movimiento y vencer la inercia estática. En economía, se ha considerado tradicionalmente que estos procedimientos no implican una disminución de recursos, por lo que los costeos de los procesos productivos no se ven afectados por esta circunstancia. Nicholas Georgescu-Roegen estableció, con toda claridad, las implicaciones teóricas y prácticas que se desprenden de entender que el “proceso económico” está gobernado por las leyes de la termodinámica y sujeto, por tanto, a sus principios. En este sentido, Georgescu-Roegen (1971, como se citó en Posada, 1999) señaló que “no hay duda de que el proceso económico es entrópico en todas sus fibras materiales y que la ley de la entropía (que abarca la energía y la materia) es el origen fundamental de la escasez” (p.154).
Desde la década de 1950, el ecologista Howard Thomas Odum y otros investigadores iniciaron procesos de experimentación para estudiar la productividad y el movimiento de energía a través de una comunidad de organismos que conformaban ecosistemas. Desde el comienzo de su carrera, Odum se interesó seriamente en la teoría ecológica, en particular en la aplicación de la termodinámica a los procesos de los ecosistemas. Odum redujo toda la complejidad de los sistemas ecológicos a las relaciones energéticas
En 1983, luego de años de trabajo, Odum y su equipo eligieron el nombre de “emergía”, sugerido por el investigador australiano David Scienceman, para significar la “memoria de un tipo de energía” que se requería para hacer otro tipo de energía, en la generación de una unidad de producto o servicio en un proceso natural o artificial. “Dado que hay energía disponible en todo lo que es reconocible (incluso información), una energía basada en medidas de emergía, se puede utilizar para evaluar la riqueza real en una base común. La emergía reconoce y mide la jerarquía de la energía universal” (Odum, , 2000 p.1 . Con este criterio, Odum y su equipo de investigadores, desde 1967, iniciaron la ardua e ininterrumpida tarea de construir propuestas para contabilizar la energía a partir de una serie de experimentos en diversos ecosistemas y lugares en América (EE. UU., Puerto Rico y Ecuador).
A partir de los aportes de Odum, que siguió la línea de pensamiento de Georgescu-Roegen, muchos investigadores de las ciencias naturales continuaron enriqueciendo esta perspectiva ecológica; sin embargo –hay que advertirlo–, tales formulaciones no se han integrado a la estructura formal regulatoria de la contabilidad financiera en el mundo, la cual ha sido también influenciada, como la economía, por la orientación neoclásica, como se ha denunciado y analizado ampliamente por muchos investigadores contables. Tal influencia ha determinado que los modelos contables dominantes en el mundo, formulados por el Consejo de Estándares de Contabilidad Financiera (FASB), estadounidense, y el Consejo de Estándares Internacionales de Contabilidad (IASB),ente europeo, que emite las NIIF, no contemplen desarrollos regulatorios en el tema ambiental y menos bajo el enfoque ecológico.
4. Aportes de investigadores de diversas disciplinas a la contabilidad ecológica o ecocontabilidad
Al parecer, es un destino no deseado de la contabilidad, estar siempre a la retaguardia en el proceso del desarrollo teórico de otras disciplinas, en este caso, además de la economía ecológica, de la física, la biología y la ingeniería, entre otras. Como se citó al principio de este trabajo, lo que sucedió desde el siglo XVIII hasta el presente, tanto por la influencia de la economía clásica como de la neoclásica, es que nuestra disciplina ha actuado como soporte de los trabajos prácticos que otras ciencias han pensado y proyectado en sus elucubraciones teóricas. Hoy se debe recurrir a los avances de los mencionados saberes y de otros, para participar de este proceso de construcción inter y transdisciplinario, que busca la construcción de un futuro mejor.
Ahora se encuentra que, si bien la economía ecológica está en formación, está más desarrollada que la ecocontabilidad, la cual está en el difícil momento de su alumbramiento, de su nacimiento, y de su esfuerzo por independizarse de la contabilidad ambiental, versión nacida como servidumbre de la economía neoclásica, ya denunciada en renglones previos. Con el fin de acercarse a esta compleja temática, se hará un breve seguimiento de algunos procesos investigativos que se han desarrollado en diversos países y variados temas; cada estudio tiene sus particularidades, según el renglón ecológico y/o económico de que se trate, pero, en general, muestran un denominador común: han partido del aporte de los pioneros del enfoque ecológico, reseñados antes.
En estas investigaciones, surge un rasgo que, desde la perspectiva del GICIC, es importante resaltar: el tema de la energía como elemento base para identificar la riqueza ecológica, criterio que, desde una escasa preparación en ciencias naturales, se había hipotetizado como posible denominador común hace varios lustros, pero en un campo donde estaba todo por hacer. Desde el grupo, se ignoraba que tales preocupaciones no eran solo materia de los pocos contables interesados en el tema, sino que sus desarrollos –basados en las investigaciones citadas y otras muchas no mencionadas aquí, realizadas en el pasado siglo y en el presente– habían abierto el camino, tarea que, desde el saber propio, se constituía en una labor faraónica que difícilmente hubiera dado frutos.
No todo está hecho; se debe primero aprehender y comprender parte –y ojalá todo– lo que concierne a estos hallazgos investigativos, cuyos planteamientos sean aplicables a los intereses del objetivo de dar cuenta de la riqueza ecológica (medir, inventariar, informar y controlar); segundo, seleccionar los contenidos pertinentes de esta vasta producción, para los intereses de la investigación; tercero, acondicionar y homogenizar los enunciados, con el fin de que sean expresables en un lenguaje común no monetario y ampliamente aceptado (cantidades expresadas en emjoules o joules emergéticos); cuarto, expresar las magnitudes no monetarias, expresadas en unidades monetarias, no establecidas por el mercado, cuando sea pertinente (emdollars o dólares emergéticos); quinto, formularr las cuentas, sus planes y las dinámicas de las mismas; sexto, formularr los estados contables; y séptimo, desarrollar análisis contables emergéticos.
A continuación, se citarán algunos de los aportes investigativos de diversos autores, los cuales permiten otear un promisorio futuro para la investigación contable, dados los avances teóricos y empíricos alcanzados en múltiples escenarios ecológicos, así como actividades económicas relacionadas con diversos ecosistemas. La gestión de estos últimos es un reto para tales núcleos sociales; y la disposición de datos, índices y ratios orientadores de las decisiones a tomar por los responsables de tal gestión es de importancia capital. Estos desarrollos científico-técnicos conforman uno de los tramos finales de la nueva disciplina ecosistémica que, a su vez, es el punto de partida de la nueva rama de la contabilidad: la ecocontabilidad.
4.1 Algunos aportes de Howard Thomas Odum
Odum dejó una valiosa herencia en sus más de veinte libros y diversos artículos publicados entre 1950 y 2004, año de su fallecimiento. Dentro de estas publicaciones, por el interés que guía este artículo, hay que destacar el libro Environmental Accounting, Emergía and Decision Making, de 1996, y cuya síntesis fue publicada en el año 2000. De esta, se han extractado una buena cantidad de elementos conceptuales, así como esquemas de los sistemas estudiados y múltiples formulaciones, algunos de cuyos contenidos se transcribirán debido al interés por establecer una base conceptual para facilitar la comprensión de los análisis incluidos en este acápite y de ejemplos que se van a desarrollar en el más adelante.
Una disciplina que influyó de forma fundamental en Odum para orientar su extenso trabajo de investigación fue la Teoría General de Sistemas, cuyo creador e impulsor fue Ludwig von Bertalanffy, quien, a partir de 1930, desarrolló este saber que permitió analizar integralmente los problemas de cualquier ciencia. Los cultores de la ecología han acogido este enfoque analítico que ha servido para profundizar los estudios respectivos y mostrar, de forma más aprehensible para cualquier lector interesado, los resultados de los procesos investigativos, mediante los reconocidos diagramas de flujo.
Del artículo de Odum (2000), “Síntesis de Environmental Accounting, Emergía and Decision Making”, se recogen, a continuación, varios párrafos básicos para el entendimiento de esta compleja temática, específicamente para los contables.
La contabilidad emergética usa la base termodinámica de todas las formas de energía, recursos y servicios humanos, y los convierte en equivalentes de una forma de energía, habitualmente la emergía solar. Para evaluar un sistema desde el punto de vista de la emergía, se dibuja primero un diagrama de flujos para organizar la evaluación y tener en cuenta todas las entradas y salidas del sistema. A partir del diagrama se construye una tabla con los flujos reales de recursos, trabajo y energía, que posteriormente se ponen en términos emergéticos. El paso final de una evaluación emergética implica interpretar los resultados cuantitativos. En algunos casos, la evaluación se hace para establecer cómo se ajusta una determinada propuesta económica con el medio ambiente. En otros casos, se comparan diferentes alternativas, o se trata de encontrar el modo de uso de un determinado recurso que permite maximizar la viabilidad económica de dicho uso (p.3).
Es fundamental resaltar la capital importancia que, para la disciplina contable, tiene esta obra, cuya formulación implica un cambio revolucionario para la contabilidad, ya que le abre paso a un mundo desconocido, el cual había sido previsto por algunos investigadores contables, en tiempos previos a la fundación del GICIC, sin imaginar que la solución a esa preocupación y la posible realización de ese sueño estuviera en manos y bajo la iniciativa de investigadores de otras disciplinas, en este caso de un ecologista, matemático, biólogo y bioquímico.
Los sueños de investigadores contables, contemporáneos a la obra de Odum, de 1996, habían aterrizado en la necesidad de la formulación de una unidad de medida contable, no monetaria, que permitiera dar cuenta de la situación de existencia del patrimonio natural perteneciente a una entidad, pública o privada, a sus incrementos y disminuciones, unidad que se denominó Unidad de Valor Ambiental (UVA). Sin embargo, ese proceso investigativo solo vino a avanzar de forma significativa con el trabajo del GICIC, a partir de 2010.
Hoy, finalizando la segunda década del siglo XXI, estamos ad portas de materializar ese propósito, gracias al invaluable aporte del magistral Thomas Odum, quien, desde mediados del siglo XX, inició un arduo proceso de investigación experimental, orientado a establecer los comportamientos de diversos fenómenos naturales en especies vivas, sobre migración y navegación de aves, y el flujo de energía en los ecosistemas, los organismos y las especies, los ciclos biogeoquímicos, así como el flujo de energía en términos del nuevo concepto de ecosistema. También exploró el campo de la cibernética, para discutir los controles de retroalimentación en los sistemas naturales, incluidas las poblaciones y sus ecosistemas.
En 1951, después de terminar su doctorado, Odum fue nombrado profesor asistente en el Departamento de Biología, de la Universidad de Florida; allí obtuvo un extraordinario apoyo para continuar, ampliar y profundizar sus investigaciones. Realizó dos estudios experimentales ambiciosos para medir el “metabolismo” general de los ecosistemas: uno en un manantial de agua dulce, en el centro de Florida, y otro en un arrecife de coral en el Pacífico, en Silver Springs. Ese lugar proporcionó un laboratorio natural ideal para estudiar la productividad y el movimiento de energía a través de una comunidad de organismos. El caudal de agua de los manantiales, su temperatura y su contenido químico se mantuvieron relativamente constantes durante todo el año. Por lo tanto, Odum afirmó que el sistema estaba en un estado estable equivalente a lo que un quimiostato podía producir artificialmente en un laboratorio.
El siguiente párrafo es fundamental para apoyar la hipótesis que animó el proceso de investigación del GICIC, para apuntar a una construcción alejada de las poderosas corrientes económicas neoclásicas, cuya fuerza se había llevado por delante la investigación contable en el último cuarto del siglo XX y lo que va del XXI, y había hecho trizas los contenidos regulatorios contables independientes del mundo, cuando fueron impuestas la NIIF, expresión de la economía neoclásica en la contabilidad, en favor de la acumulación del gran capital financiero.
Dado que hay energía disponible en todo lo que es reconocible (incluso información), una energía basada en medidas de emergía, deletreado con una "m", se puede utilizar para evaluar la riqueza real en una base común pero no se agregan calorías de diferentes tipos. 2 La emergía reconoce y mide la jerarquía de la energía universal, que debe considerarse como una quinta ley de la energía termodinámica. Los sistemas de la naturaleza y la humanidad en todas las escalas forman parte de una jerarquía de energía universal, que es la red de procesos de transformación de energía que une escalas pequeñas a escalas más grandes, y estos a escalas aún más grandes. Representamos todo en diagramas de sistemas desde lo pequeño a la izquierda a lo mayor a la derecha. La energía disponible (energía potencial=exergía) en un nivel, que se consume en cada proceso de transformación, genera una cantidad menor en la siguiente escala mayor. Y la organización refuerza los diseños en los que las energías de mayor calidad, en la dirección correcta, se retroalimentan a la izquierda para reforzar el proceso de entrada (retroalimentación autocatalítica) de calorías de energía de diferentes tipos que no son equivalentes en su contribución de trabajo útil (Odum, 2000).
4.1.1 Base conceptual emergética
Con el propósito de mantener un nivel de rigor y precisión en los planteamientos y enunciación de resultados de los procesos investigativos, Odum fue construyendo un léxico propio con nuevos conceptos, con lo que alcanzó toda una nomenclatura emergética que determina las fórmulas y define los términos, unidades, e indicadores usados en las evaluaciones emergéticas. Por su parte, otros investigadores fueron enriqueciendo el acumulado conceptual, razón por la que hoy, a finales de la segunda década del siglo XXI, existe un respetable contenido teórico-técnico que va creciendo de forma dinámica, conforme este nuevo saber va traspasando las fronteras de otras disciplinas, tal como está ocurriendo con la contabilidad.
Este artículo introduce los conceptos y explica cómo hacer los cálculos con un ejemplo de maricultura de camarón, y utiliza índices de emergía para juzgar su valor a nivel local, regional, nacional, internacional y global en sistemas de escala. Este artículo (también) ilustra el cálculo y el uso de emergía-emdollars con una evaluación de la acuicultura del camarón… (Odum, 2000).
A continuación, se reproduce una parte de la lexicografía creada por Odum (2000), que incluye algunos términos y sus significados, que se constituyen en fundamento de la nueva cultura de la contabilidad emergética.
4.1.2 Definiciones en forma de ecuación
De lo anteriormente citado –siendo todo importante–, es útil resaltar algunos aspectos que son capitales para la apropiación inicial de este discurso nuevo para los contables. En primer lugar, el concepto de emergía donde, como se citó antes, Odum estableció que la emergía es la energía utilizable, proveniente de algún elemento de la naturaleza o artificial, que se puede utilizar en la realización de una actividad o trabajo. Debido a la ley de la entropía, la energía existente en cualquier elemento no es utilizable en su totalidad. Parte de ella se utliza en el proceso de funcionamiento del elemento que interviene en la actividad o trabajo.
Segundo, el concepto de transformidad, medida de energía que se requiere para transformar un tipo de energía en otro. Establece la jerarquía ecológica en un análisis de energía, lo cual implica que “los niveles de organización del espectro biológico han sido considerados como sistemas biológicos diferentes [...]. Cada nivel es un sistema diferente con complejidades e interacciones que no se pueden predecir a través del conocimiento de otro nivel” (Odum, 1971). La fórmula de tranformidad Trs = sej / J, que sirve para transformar sej a J, la podemos re-expresar así: Trs = J / sej, si vamos a realizar la operación contraria de conversión de J a sej, tal como se hizo anteriormente.
Tercero, los conceptos de joule y de emjoule. Julio, o joule (J), es la unidad internacional usada para medir energía, trabajo y calor. El trabajo necesario para producir un vatio o watt de potencia durante un segundo: vatio por segundo (W/s). La unidad de emergía es el emjulio (emjoule), que se refiere a la energía útil de un tipo consumida en las transformaciones. La emergía tiene en cuenta diferentes formas de energía y recursos (luz del sol, agua, combustibles fósiles, minerales, etc). Cada una de estas formas de energía se produce a través de procesos de transformación en la naturaleza, y tiene una determinada capacidad para realizar trabajo, tanto en sistemas ecológicos como humanos. El reconocimiento de esas diferencias en “calidad” es un concepto clave en la metodología de la emergía.
Uno de los aspectos más importantes dentro del tema de la contabilidad emergética es el desarrollo de indicadores que permitan establecer datos informativos sobre el estado y comportamiento de los ecosistemas, más cuando estos están involucrados en actividades desarrolladas por sociedades humanas. Se debe establecer, cuidadosamente, la calidad de los indicadores emergéticos, ya que no todos son equivalentes, esto es, no todos se pueden computar como iguales. Los subrayados del párrafo previo sobre los conceptos de joule y emjoule tienen la intención de resaltar la existencia de diversos tipos de energía, según el nivel o categoría de la misma, por lo cual ellos no pueden ser computables sin una previa transformación, tal como se explica en el punto de transformidad. Por ello, toda energía, finalmente, para poderse computar, se transforma a Jems (emjoules solares) o julios (joules) emergéticos solares.
Al respecto, anotan Bravo Amarante, López Bastida y Romero Romero (2018):
Todos los procesos de auto-organización de sistemas (ej: ecosistemas) están regidos por la segunda ley de la termodinámica, pues la energía que pasa de un nivel inferior a otro superior de la auto-organización es menor en cada escalón, dado que no existe una eficiencia del cien por ciento en el proceso de transformación; pero la energía necesaria para la construcción de niveles más altos de la auto-organización es cada vez mayor conforme el sistema se hace más complejo, es decir, conforme avanza en la cadena de organización (Odum, Brown & Brandt- Williams, 2000). De esta manera, la energía se concentra a medida que se avanza en los niveles de auto-organización […]. Esta observación implica que 1 joule de energía solar, 1 joule de carbón o 1 joule de electricidad, aunque representan la misma cantidad de energía (1 joule), no representan la misma calidad, en el sentido del potencial que tienen estos distintos tipos de fuentes energéticas para actuar sobre el conjunto del sistema, es decir, en la necesidad que tiene el sistema de recibir mayores o menores cantidades de energía menos concentrada para generar cada una de ellas (Lomas, Donato & Ulgiati, 2007). Se concluye entonces que existe una jerarquía de energías según su calidad o potencial para influir en el sistema, que va desde fuentes de energía poco concentradas (como el sol) hasta aquellas muy concentradas (como el petróleo) (Odum, et al., 2003; Enrico, et al., 2005)3 .
La obra de Odum irradió el camino de muchos investigadores, quienes, además de reconocer sus aportes, han profundizado y ampliado el acumulado conceptual, permitiendo con ello incursionar en múltiples frentes de trabajo en diversos ecosistemas de muchos países: EE. UU., Ecuador, España, China, Italia, Brasil, Colombia, Turquía, entre muchos más.
La Tabla 1 incluye términos, simbologías y procedimientos importantes para el tema emergético; debajo de cada renglón y al final de la tabla se presentarán desgloses y explicaciones que se consideran pertinentes para una mejor interpretación de los datos. En esta tabla, se encuentran tres procesos: primero, uno de determinación de julios o joules para cada factor o elemento de entrada; y dos procesos de transformación de datos.
El proceso 1, de determinación de julios, para cada factor o elemento de entrada, se realiza mediante estudio específico del escenario empírico, para determinar la cantidad de input del elemento al sistema estudiado, por ejemplo, luz solar o agua de mar. Para ello, debe aplicarse la convención de cuánto corresponde por Item de input en julios: en el caso sintetizado en la Tabla 1, abajo, luz solar 1.97 E18 J, o lluvia: 2,65 E15 J. Luego, el proceso 2, de transformación, tiene que ver con la transformación de la unidad básica de medida de energía que es el julio, a sej o emjulio solar, mediante un factor previamente determinado por estudios técnicos que miden la cantidad de energía utilizable que tiene cada unidad de elemento o input del proceso; este estudio es específico para cada factor (luz solar = 1; agua de lluvia o de mar = 15,444; combustible = 15,3 E 4 , etc.). El proceso 3, de transformación, es el de convertir los emjoules a emjoules anuales, es decir, de sej/units a sej/year, mediante la multiplicación por el factor 1/1020, prederminado por estudios técnicos para esa investigación. Finalmente se convierte la emergía solar anual a dólares emergéticos. (Odum, 2000).
Antes de los tres procesos explicados, se ha realizado un procedimiento técnico previo para establecer las kilocalorías que el elemento estudiado, en este caso el camarón, ha recibido durante un período anual de tiempo. La huella de este procedimiento aparece detallada en las notas complementarias a la tabla referida de Odum 2000, que se presenta a continuación.
TABLA 1
: Flujos anuales de Emergía enla maricultura de camarón en estanques, en Ecuador, 1986| Note | Item | Unidades crudas Raw Units J, g, $ | Emergía/unidad sej/unidad Emergy/unit sej/unit | Emergía solar anual Solar Emergy 1020 sej/y | Dólares Emergéticos Emdollars 102 em$/yr* |
|---|---|---|---|---|---|
| Free | Environmental | Inputs: | |||
| 1 | Sunlight | 1,97 E18 J | 1 | 1,97 E18 J | 2 |
| 2 | Rain | 2,65 E15 J | 15444 | 0,41 | 41 |
| 3 | Pumped sea waters | 7,33 E15 J | 15444 | 1,1 | 110 |
| 4 | Post larvae | 3,2 E9 ind. | 1,04 E11 | 3,4 | 340 |
| Purchased | Inputs: | ||||
| 5 | Labor | 1,32 E14 J | 2,87 E6 | 3,79 | 379 |
| 6 | Fuel | 2,34 E15 J | 5,3 E4 | 1,24 | 124 |
| 7 | Nitrogen fertil | 1,14 E9 g | 4,19 E9 | 0,048 | 5 |
| 8 | Phosphorus fertiliz. | 2,62 E8 g | 2,0 E10 | 0,05 | 5 |
| 9 | Feed protein | 3,29 E15 J | 1,31 E5 | 4,3 | 430 |
| 10 | Other services | 3,56 E7$US | 8,5 E12 | 3,0 | 300 |
| 11 | Costs of post-larvae | 3,56 E7$US | 8,7 E12 | 3,0 | 300 |
| 12 | Capital costs | 1,93 E6$US | 8,5 E12 | 0,164 | 16 |
| 13 | Interest paid back in sucre-converted- | $ 11,2 E6 $US | 8,5 E12 | 0,95 | 95 |
| Output | Products: | ||||
| 14 | Shrimp yield using organic feed Efficient value | 1,68 E14 J | 4,0 E6 | 6,72 | 672 |
| Resource used | 1,68 E14 J | 13,0 E6 | 21,80 | 2,180 | |
| 15 | Shrimp yield without organic feed Efficient value | 0,93 E14 J | 4,0 E6 | 3,72 | 372 |
| Resource used | 0,93 E14 J | 18,9 E6 | 17,58 | 1,758 |
FConvención: E = 10
*Dólares del año 2000
Fuente: adaptado de Odum (2000). Renglón 1, energía solar directa: (127 E4 kcal/m2
/año) (4186 J/kcal) (0,7 absorbido) (530 E6 m2) = 1,97 E18 J/año. Renglón 2, lluvia en estanques: (1 m/año) (530 E6 m2) (1 E6
g/m3) (5 J/g) = 2,65 E15 J/año. Renglón 3, agua de mar bombeada para mantener los niveles de agua
y salinidad; contenido de agua dulce evaluado: (0,1 vol/d) (365 d) (1,5 m) (5,38 E5 m2
) (0,08 fresco) (1 E6 g/m3 ) (3 J/g) = 7,4 E15 J/año. Renglón 5, la transformidad del trabajo en Ecuador se estimó como una
emergía nacional/persona/año [9]. Energía/persona = (2500 kcal/d) (365 d/año) (4186 J/kcal) = 3,82 E9 J/
año. Transformidad solar = (10 E15 sej/ind/año) / (3,82 E9 J/ind/año) = 2,62 E6 sej/J 90 000 pescadores 5
días al mes; 20 000 personas a tiempo completo (12,7 E6 persona-días) (2500 kcal/persona-día) (4186 J/
kcal) = 1,32 E14 J/año. Renglón 6, combustible: estimado como un porcentaje del costo operativo del
estanque bombeado (Aquaculture del Ecuador, 1988): ($0,10/lb camarones) (26,4 E6 kg/año) (2,2 lbs/kg)
($0,34/gal combustible) = 17 E6 gal/año; (17,1 E6 gal/año) (137 E6 J/galón) = 2,34 E15 J/año.
A continuación, se presenta la explicación detallada de los renglones 1, 2, 3, 5 y 6:
| Note | Item | Raw Units J, g, $ | Emergy/unit sej/unit | Solar Emergy 1020 sej/yr | Emdollars 102 em$/yr* |
|---|---|---|---|---|---|
| Free | Environmental | Inputs: | |||
| 1 | Sunlight | 1,97 E18 J | 1 | 0,0197 | 2 |
Se explica el procedimiento computacional para el renglón 1:
((1,97 x 1018J) x 1) / 1020 = 0,0197 * 102 = 2
El primer renglón de la Tabla 1 contiene los datos correspondientes al input energía de luz solar o sunlight en el proceso del camarón, el cual, inicialmente, se mide en sitio del estudio empírico (costa pacífica ecuatoriana), en una cantidad dada de julios: 1,97 E18 J, es decir, 1,97 trillones de joules; esta cifra debe convertirse utilizando el factor de transformidad respectivo al ítem o elemento de entrada, en este caso luz solar, que, como es la unidad básica, ese factor es “1”; así, se tienen los mismos 1,97 trillones, pero ahora convertidos a sej, es decir, a solar emergy joules y, utilizando el factor de conversión a cifra de sej anuales 1/1020, arroja un resultado de 0,0197 sej/ yr (solar emergy joules por año). Finalmente se multiplica 0,0197 X 102 y se obtiene 2 dólares emergéticos (por aproximación al entero mayor)
| Note | Item | Raw Units J, g, $ | Emergy/unit sej/unit | Solar Emergy 1020 sej/yr | Emdollars 102 em$/yr* |
|---|---|---|---|---|---|
| Free | Environmental | Inputs: | |||
| 2 | Rain | 2,65 E15 J | 15444 | 0.41 | 41 |
Se explica el procedimiento computacional para el renglón 2:
((2,65 x 1015J) x 15444) / 1020 = 0,41* 102 = 41
El segundo renglón de la Tabla 1 contiene los datos correspondientes al input lluvia o rain, la cual se mide en el sitio del estudio empírico (costa pacífica ecuatoriana), en una cantidad dada de julios: 2,65 E15 J, es decir, 2,65 miles de billones de julios; esta cifra debe convertirse utilizando el factor de transformidad respectivo al ítem o elemento de entrada, en este caso lluvia, factor que ha sido determinado por estudios técnicos previos; así, se tiene un valor del factor de 15 444 que, computado con los 2,65 miles de billones de julios, da el valor de 41 trillones de sej que para convertirlos a sej/yr, se utiliza el factor de conversión a cifra de SEJ anuales 1/1020, y arroja el resultado = 0,41 sej/yr. Finalmente se multiplica 0,41 X 102 y se obtiene 41 dólares emergéticos.
| Note | Item | Raw Units J, g, $ | Emergy/unit sej/unit | Solar Emergy 1020 sej/yr | Emdollars 102 em$/yr* |
|---|---|---|---|---|---|
| Free | Environmental | Inputs: | |||
| 3 | Pumped sea waters | 7,33 E15 J | 15444 | 1,1 | 110 |
((7,33 x 1015J) x 15444) / 1020 = 1,1* 102 = 110
El tercer renglón de la Tabla 1 contiene los datos correspondientes al input agua marina bombeada o pumped sea water, la cual se mide en el sitio del estudio empírico (costa pacífica ecuatoriana), en una cantidad dada de julios: 7,33 E15 J, es decir, 7,33 miles de billones de julios; esta cifra debe convertirse utilizando el factor de transformidad respectivo al ítem o elemento de entrada, en este caso agua marina bombeada, factor que ha sido determinado por estudios técnicos previos; así, se tiene un valor del factor de 15 444 que, computado con los 7,33 miles de billones de julios, da el valor de 113 trillones de sej que para convertirlos a sej /yr, utilizando el factor de conversión a cifra de SEJ anuales 1/1020, y arroja el resultado = 1,1 sej/ yr. Finalmente se multiplica 1,1 X 102 y se obtiene 110 dólares emergéticos.
| Note | Item | Raw Units J, g, $ | Emergy/unit sej/unit | Solar Emergy 1020 sej/yr | Emdollars 102 em$/yr* |
|---|---|---|---|---|---|
| Free | Purchased | Inputs: | |||
| 5 | Labor | 1,32 E14 J | 2,87 E6 | 3,79 | 379 |
((1,32 x 1014J x (2,87x106)) / 1020 = 3,79 * 102 = 379
El quinto renglón de la Tabla 1 contiene los datos correspondientes al input trabajo o labor, el cual se mide en el sitio del estudio empírico (costa pacífica ecuatoriana), en una cantidad dada de julios: 1,32 E14 J, es decir, 132 billones de julios; esta cifra debe convertirse utilizando el factor de transformidad respectivo al ítem o elemento de entrada, en este caso trabajo, factor que ha sido determinado por estudios técnicos previos; así, se tiene un valor del factor de 2,87 x 106 que, computado con los 132 billones de julios, da el valor de 37,9 trillones de sej que, para convertirlos a sej /yr, se utiliza el factor de conversión a cifra de sej anuales 1/1020, y arroja el resultado de 3,79 sej/yr. Finalmente se multiplica 3,79 X 102 y se obtiene 379 dólares emergéticos.
| Note | Item | Raw Units J, g, $ | Emergy/unit sej/unit | Solar Emergy 1020 sej/yr | Emdollars 102 em$/yr* |
|---|---|---|---|---|---|
| Free | Purchased | Inputs: | |||
| 6 | Fuel | 2,34 E15 J | 5,3 E4 | 1,24 | 124 |
((2,34 x 1015J x (5,3x104 )) / 1020 = 1,24 * 102 = 124
El sexto renglón de la Tabla 1 contiene los datos correspondientes al input combustible, el cual se mide en el sitio del estudio empírico (costa pacífica ecuatoriana), en una cantidad dada de julios: 2,34 E15 J, es decir, 2,340 billones de julios; esta cifra debe convertirse utilizando el factor de transformidad respectivo al ítem o elemento de entrada, en este caso combustible, factor que ha sido determinado por estudios técnicos previos; así, se tiene el valor del factor = 5,3 x 104 que, computado con los 2,340 billones de julios, obtiene el valor de 1,24 trillones de sej que, para convertirlos a sej/yr, se utiliza el factor de conversión a cifra de SEJ anuales 1/1020, y arroja el resultado = 1,24 sej/ yr. Finalmente se multiplica 1,24 X 102 y se obtiene 124 dólares emergéticos.
Los ingenieros Iván Darío López Villalobos y Judith Rodríguez Salcedo (2013) publicaron el artículo “Análisis energético del Tecnosistema Palmira, Colombia”, fruto de un trabajo riguroso de investigación, en el que siguieron, de forma metódica, un programa de cinco etapas, aplicando la teoría emergética basada en unidades físicas, para establecer las magnitudes contables, creadas por Odum. Sus objetivos, orientados a medir el estado del municipio de Palmira como sistema ecológico y determinar su sostenibilidad ambiental, son muy valiosos por constituirse en uno de los estudios pioneros para Colombia y que puede servir de base de aprendizaje y reflexión para investigadores de otras disciplinas, como la contabilidad, la economía, la administración pública, entre otras; por la forma metódica y clara de exposición del trabajo y por la gran cantidad de índices y ratios aportados en el documento publicado.
El artículo de López y Rodríguez (2013) constituye un documento valioso porque: a) si bien sigue las guías metodológicas de otros autores, como Odum (1996; 2000) y Álvarez et al. (2006), expone y aplica un esquema metodológico con particularidades propias, ordenado y lógico, que constituye un ejemplo a seguir por investigadores nóveles; b) incluye cuadros detallados con una buena cantidad de indicadores y datos que permiten sumergirse en la temática investigada con mucha ayuda para el lector; c) soporta los indicadores con anexos explicativos que permiten analizar con mayor profundidad el proceso seguido en la investigación; y d) ofrece interesantes conclusiones analíticas que cierran acertadamente el artículo.
Es posible valorar sistemas urbanos, como el municipio de Palmira, como sistema ecológico, denominado “Tecnoecosistema”, con el método de la síntesis emergética, permitiendo diferenciar entre economía ambiental y economía ecológica, dando valor a los recursos naturales en conjunto con todo el sistema económico y social, en una sola contabilidad y así direccionar las áreas de sostenibilidad, con el cálculo de índices emergéticos, para la toma de decisiones en políticas públicas. El método de la síntesis emergética es útil para identificar los insumos que contribuyen más a las importaciones de emergía no renovable. Como lo sugiere Odum (1996), la importación de recursos da una idea de una falta de sostenibilidad económica, mientras que el hecho de que no es renovable, sugiere una escasez futura debido a una dependencia de la disponibilidad realde recursos en la tierra (López y Rodríguez, 2013, p. 85).
Por su parte, Cano Londoño, Gallego Suárez y Velásquez (2014), investigadores de la Universidad Nacional de Colombia, sede de Medellín, citan algunos de los índices desarrollados por Odum (1996), a los que les hicieron una presentación pedagógica, que permite su comprensión y aplicación en la gestión de los recursos naturales y la administración sostenible de los ecosistemas. Tales indicadores y el significado de sus valores se exponen a continuación.
En primer lugar, la relación de carga ambiental (Enviromental Loading Ratio, ELR) es el índice de carga ambiental, que se refiere a la relación entre las entradas de recursos no renovables (NR) al sistema, más los recursos importados (F) sobre los recursos renovables (R):
𝐸𝐿𝑅 = (𝑁𝑅 + 𝐹)/R (3)
Los valores bajos de ELR (<2) indican que los procesos tienen un bajo impacto ambiental o cuentan con una gran área para disipar sus efectos ambientales. Cuando ELR > 10, hay un alto impacto ambiental, y cuando 3 < ELR < 10, se considera el impacto como moderado. Este índice es alto para sistemas con alto nivel de entradas no renovables o con altos lanzamientos al medio ambiente, y también para procesos altamente tecnológicos.
Por su parte, la relación de rendimiento de emergía (Emergy Yield Ratio, EYR) es el índice de rendimiento de emergía, e indica la relación entre las entradas de emergía totales al sistema sobre los recursos importados.
𝐸𝑌𝑅 = (𝑅 + 𝑁𝑅 + 𝐹)/F (4)
Este índice se utiliza para estimar la dependencia del proceso de los recursos comprados o importados, y también para mostrar el aporte del capital natural local en la conomía de la región o del proceso. Los valores bajos de EYR indican un beneficio bajo para la economía y una débil competencia en el mercado. Por el contrario, los valores altos de EYR indican una fuerte competencia que tiene el producto desarrollado y un alto beneficio económico. Un EYR < 5 indica que durante el proceso se utiliza una gran cantidad de materia prima secundaria, es decir, de producción industrial (cemento, acero, etc.). Un > 5 indica el uso de recursos energéticos primarios. EYR < 2 indica que no hay contribuciones significativas de recursos locales y están asociados a procesos que utilizan productos importados fabricados casi por completo.
El índice de emergía sostenible (Emergy Sustainable Indices, ESI) indica la relación entre el rendimiento de la emergía y la carga ambiental.
𝐸𝑆𝐼 = 𝐸𝑌𝑅 / 𝐸𝐿R (5)
Como se describe en la ecuación anterior, este índice refleja la capacidad de un sistema para proporcionar productos o servicios con mínimo estrés ambiental y un máximo beneficio económico. Cuando ESI < 1, el proceso no es sostenible a largo plazo. Cuando 1 < ESI < 5, es sostenible y la contribución a la economía está presente durante períodos a medio plazo. Con ESI > 5, el proceso puede ser considerado sostenible a largo plazo. Sin embargo, es incorrecto creer que cuanto mayor es este índice, mayor es la sostenibilidad del proceso, ya que con un ESI > 10 se considera que el proceso es subdesarrollado.
Así, el ratio de inversión emergente (Emergy Investment Ratio, EIR) es el índice de emergía de inversión, la relación entre las entradas de recursos importados al sistema sobre la suma de recursos renovables y no renovables.
𝐸𝐼𝑅 = 𝐹 / (𝑅 + 𝑁𝑅) (6)
Según la ecuación 6, cuanto más bajo es este índice, menor es el costo económico del proceso, por lo que la alternativa que presenta un índice más bajo tiende a ser más competitiva y florece en el mercado. En general, cuanto mayor es la relación, mayor es nivel de desarrollo económico del sistema.
En cuanto al ratio de renovación (Emergy Per Unite, % R), este es la relacion que existe entre las entradas de fuentes renovables para el sistema sobre la emergía total.
% 𝑅 = (𝑅 / (𝑅 + 𝑁𝑅 + 𝐹) )× 100 (7)
El factor de renovabilidad debe ser calculado durante un análisis de emergía cuando quiere hacerse una evaluación de la sostenibilidad. Eso, simplemente, indica el porcentaje de emergía renovable utilizado por el sistema. Sistemas con un alto porcentaje de emergía renovable tienen mayores probabilidades de ser más sostenibles y prevalecerán (mayor capacidad de sobrevivir a un estrés económico) sobre los que utilizan una gran cantidad de emergías no renovables. Los índices de sostenibilidad anteriores permiten la mejor toma de decisiones ambientales. Por lo tanto, un proceso es sostenible cuando es energéticamente utilizable, económicamente rentable y respetuoso con el medio ambiente de forma integrada. Además, ser sostenible significa que el sistema depende de recursos renovables y no de los no renovables.
A partir de algunos de estos conceptos, se analizará la situación del municipio de Palmira, aplicando los criterios establecidos por Cano Londoño et al. (2014) y aprovechando los datos tomados del artículo de López y Rodríguez (2013).
TABLA 2. Datos del comportamiento emergético del municipio de Palmira
| Flujos en conjunto de la tabla emergética | Unidades | Flujo de emergía | % | |
|---|---|---|---|---|
| U | Emergía total (R+N+F+F2+F3+SLN) | seJ/año | 1,29E+22 | 100 |
| EYR | Índice de producción de emergía U/ = (R+N+F1+- F2+F3+SLN)/(F1+F2+F3+SLN) | 1,46 | 13,68 | |
| ELR | Índice de Carga Ambiental (N+F1+F2+F3+SLN)/ (R+SLR) | 3,2 | 0,45 | |
| ESI | Índice de Sostenibilidad Ambiental (EYR/ELR) | 0,46 | 30,69 | |
| Upal/ UCol | Emergía de Palmira/Emergía Colombia | % | 0,49 |
Fuente: adaptado de López y Rodríguez (2013). R: Rec. renovable (24%); N: Rec. no renovable (6%); F: Emergía importada; Nn: Pérdida de suelos local (1%); Ne: Productos directamente exportados (5%); F1: Emergía importada de combustibles y electricidad (12%); F2: Emergía importada alimentos (37%); F3: Emergía importada de bienes y comodidades (4%); SLN: Fracción no renovable de mano de obra y servicios de importación (16%); SLR : Fracción renovable de mano de obra y servicios de importación (0,03%).
Según la tabla anterior, aproximadamente, se tiene un 32 % de emergía producida con recursos internos municipales y un 68 % importados.
Interpretación del Índice de Producción de Emergía (EYR):
EYR = (R+N+F) / (F) (8)
Cuando EYR ≥ 5 el ecosistema es sostenible, pues usa básicamente emergía primaria. Implica que la suma de los recursos naturales renovables y no renovables adicionados a los importados de diversas naturalezas supera de forma significativa a los recursos importados. Los recursos importados pueden ser de diversos tipos, por ejemplo: renovables primarios, como madera, agua; renovables secundarios, como bienes industriales manufacturados; renovables terciarios, como salarios, mano de obra; o no renovables, como combustibles (carbón mineral, petróleo, gas). Si 2 ≤ EYR ≤ 5, el ecosistema está consumiendo materias primas de origen secundario, no primario. Cuando EYR ≤ 2 se presume que no se están usando adecuadamente los recursos locales y, seguramente, el ecosistema está utilizando recursos importados.
En el caso del municipio de Palmira:
EYR = (R+N+F+F2+F3+SLN) / (F1+F2+F3+SLN) (9)
EYR = 100% / 68% = 1,46 (10)
Efectivamente –como se anota arriba–, el municipio utiliza una gran cantidad de emergía importada, incluso importa la mano de obra ligada a las importaciones de recursos no renovables, lo que la ubica en una condición crítica de sostenibilidad. Desde una perspectiva ecológica, la administración municipal tiene en frente un reto grande relacionado con el fomento del uso de recursos renovables para la sustitución de la emergía importada, lo que implica la creación e impulso, dentro de la región municipal, de actividades agroindustriales orientadas a sustituir importaciones prácticamente de todos los tipos (primarios, secundarios y terciarios), a partir de una bien cimentada cultura ecológica, el fomento de la utilización de energías limpias, desde las energías renovables y la capacitación del trabajo humano para no depender de las importaciones en todos estos ramos.
Interpretación del Índice de Carga Ambiental (ELR):
𝐸𝐿𝑅 = (𝑁𝑅 + 𝐹) / 𝑅 (11)
Así, entre más bajos los valores del ratio ELR, mejor situación de carga ambiental existe en el ecosistema. Cuando los valores de ELR son < 2, indican que los procesos tienen un bajo impacto ambiental, o cuentan con una gran área para disipar sus efectos ambientales. Si se obtiene 2 ≤ ELR ≤ 10, se considera el impacto como moderado. Si el indicador ELR > 10, hay un alto impacto ambiental y se da cuando los ecosistemas tienen alto nivel de importaciones no renovables o con altos lanzamientos al medio ambiente, y también cuando en él se desarrollan procesos altamente tecnológicos contaminantes.
En el caso del municipio de Palmira:
ELR = (N+F1+F2+F3+SLN) / (R+SLR) (12)
ELR = (6 + 12 + 37 + 4 + 17)% / 24% = 76% / 24% = 3,2 (13)
El municipio muestra una ubicación de impacto ambiental moderado de 3,2, ya que, pese a que está importando una gran cantidad de recursos de todo tipo, también está haciendo uso de recursos propios renovables, lo que le permite mostrar un cómodo estado –por ahora– de carga ambiental para su ecosistema. Es necesario, para implantar una política de administración mejor sustentada, determinar cómo ha sido el comportamiento y la gestión del ecosistema en años previos y establecer primero una orientación de gestión ecológica en todos los frentes responsables de actividades relacionadas con el ecosistema en el municipio, además de mantener la producción de datos ecológicos permanentemente actualizada, para poder fundamentar tal política administrativa. De no hacer un plan para sustituir las importaciones, el municipio entrará en crisis ambiental.
Interpretación del Índice de Sostenibilidad Ambiental (ESI):
Es el índice de sostenibilidad e indica la relación entre el rendimiento de la emergía y la carga ambiental y refleja la capacidad de un sistema para proporcionar productos o servicios con mínimo estrés ambiental y un máximo beneficio económico (Cano Londoño et al., 2014).
ESI = EYR/ELR (14)
Entre más alto sea el resultado de este cociente, mejor será la condición del ecosistema para enfrentar los retos del mantenimiento ambiental.
En el caso del municipio de Palmira:
ESI = 1,46 / 3,2 = 0,46 (15)
Si ESI < 1, el ecosistema está en riesgo de colapsar en el largo plazo, incluso en períodos menos largos, cuando otros indicadores son negativos en la perspectiva ecológica. Por ejemplo, cuando ELR > 10 o EYR < 5, como es el caso de Palmira, el resultado del ESI = 0,46 ratifica esta perspectiva de posible crisis del ecosistema en el futuro. Con un ESI entre 1 y 5, el cosistema es sostenible en el mediano plazo. Con un ESI > 5, el cosistema es sostenible en el largo plazo. Sin embargo, no se recomienda alcanzar resultados de ESI mayores a 10, pues se podría caer en el estado de subdesarrollo del sistema.
En el artículo “Evaluación Ecoeficiente de la economía circular regional: Un caso de en Zengcheng, Guangzhou, China”, Wei Liu et al. (2018) desarrollan una argumentación, basada en los criterios emergéticos creados por Odum, para formular lo que denominan una economía circular, a partir del principio de las 3 R: reducir, reutilizar y reciclar; con el fin de reducir las emisiones contaminantes, promover procesos industriales ecológicos, y reducir el empleo de energía y materiales en los procesos productivos. Esta versión de la economía busca fomentar el desarrollo sostenible, política que se está abriendo paso dentro de la cultura de la gestión pública, en contra de la corriente –hasta ahora dominante en el mundo– de gobiernos locales y nacionales, como el de Brasil, con el presidente Bolsonaro, y el de EE. UU., con el presidente Trump, que niegan el cambio climático y la crisis ecológica que vive el mundo. La economía circular es una versión de la economía ecológica.
Es de conocimiento general el gran avance industrial y tecnológico que, en el plano orbital, ha tenido la economía china, siendo un país subdesarrollado en los años setenta del siglo XX, y que ha saltado a ser la primera economía del mundo en esta segunda década del XXI. Sin embargo, también es conocida la emergencia que padecen diversos lugares de esa nación, relacionada con la crisis ambiental, fruto de la industrialización y el mejoramiento de las condiciones económicas de grandes masas de población.
Justamente, en el trabajo de Liu et al. (2018), los investigadores demuestran, con cálculos del comportamiento ecoambiental de una zona de la República de China, Zengcheng, Guangzhou, mediante la comparación de datos relacionados con el uso de recursos renovables, no renovables e importados, por un lapso de 17 años, el notable incremento del uso de emergías no renovables, que ha puesto en peligro de deterioro y contaminación ambiental a la zona investigada.
Las economías circulares son fundamentales para aliviar la presión sobre los recursos y mejorar la calidad ambiental a nivel regional. El análisis emergético y las evaluaciones de ecoeficiencia desempeñan funciones importantes en la medición de la ecoeficiencia regional y en el suministro de información de apoyo para la toma de decisiones gubernamentales. En este estudio, el análisis emergético y el análisis de entrada y salida se aplicaron para analizar los cambios en la estructura emergética, la eficiencia funcional y la capacidad de desarrollo sostenible de Zengcheng, Guangzhou, durante el período 2000- 2016. Los resultados mostraron que la proporción de emergías no renovables en la estructura emergética total de Zengcheng aumentó de 55% a 75%, lo que colocó una mayor carga ambiental en el ecosistema natural y debilitó gradualmente la capacidad de desarrollo sostenible. Las tasas de utilización de emergía y ecoeficiencia mostraron tendencias crecientes. Todos los indicadores sobre ecoeficiencia mostraron que el desarrollo de Zengcheng se basó en gran medida en el consumo de emergía, especialmente en la emergía no renovable. La relación entre la utilización emergética y el desarrollo socioeconómico de Zengcheng puede proporcionar apoyo para la toma de decisiones para la optimización de la estructura económica y el desarrollo comunitario sostenible (Liu et al., 2018, p. 1).
Este interesante artículo, sustentado en una gran cantidad de datos, presenta una perspectiva de la influencia continuada del proceso de industrialización y modernización de un pequeño territorio del sur de China. El soporte empírico, resultado de la observación permanente y el registro de las estadísticas, permite disponer de una excelente materia prima para la realización de análisis y la construcción de propuestas para soportar la gestión administrativa de la región, con argumentos plausibles. El resultado de la investigación es una muestra incontrovertible de la utilidad de la –hasta ahora– denominada contabilidad ecológica que, sin duda, será una base ineludible de toda administración pública comprometida con fines ecológicos de los ecosistemas que están bajo su responsabilidad.
Dada la importancia de este artículo, se van a reproducir varios cuadros, párrafos y datos del mismo, para finalizar con un análisis propio de los grandes indicadores ELR, EYR y ESI, tal como se hizo antes con el trabajo de López y Rodríguez (2013), del municipio de Palmira.
GRÁFICA 1. Changes in the total input emergy, non-renewable emergy, foreign input
emergy, and renewable emergy in Zengcheng, 2000-2016
Fuente: Liu et al. (2018).
La Figura [anterior] muestra los cambios en la estructura económica circular en Zengcheng. El uso de emergía no renovable domina la estructura emergética en Zengcheng. El total de entrada de emergía fue 3.65 × 1022 seJ en 2016, aproximadamente el doble de la cifra de 2000. El uso de emergía de recursos no renovables aumentó de 1.12 × 1022 seJ en 2000 a 2.75 × 1022 seJ en 2016, lo que representa aproximadamente el 75% del total de insumos en 2016 […]. Durante el mismo período, el porcentaje de emergía renovable disminuyó de 39.4% a 18.7%. El cambio en la proporción de emergías de insumos importadas desde el extranjero frente al total de insumos no es muy significativo durante el período de 17 años, alrededor del 3-10%. Estos datos muestran que el desarrollo económico en Zengcheng se basa principalmente en recursos no renovables, como el carbón y el petróleo, y esto inevitablemente afectará el entorno ecológico local en los procesos de desarrollo, transporte y otros usos. A medida que se ha mejorado el sistema socioeconómico en Zengcheng, ha aumentado la eficiencia de la utilización y producción emergentes. La emergía del sistema se volvió cada vez más dependiente de la compra de emergías extranjeras de 2000 a 2016, y el aumento se hizo más rápido con el tiempo. Como resultado, la tasa de rendimiento de emergía (EYR) experimentó un cambio parcial en la volatilidad y, finalmente, una tendencia general decreciente (Figura 4, Tabla 4). El uso de emergía por unidad de área y por persona aumentó, mientras que la proporción de uso de emergía y PIB disminuyó (Figura 5, Tabla 4). El uso emergía por unidad de área casi se duplicó de 1.25 × 1019 seJ / km2 en 2000 a 2.26 × 1019 seJ / km2 en 2016, mientras que el uso emergía por persona aumentó de 2.74 × 1016 seJ / persona a 4.14 × 1016 seJ / persona. Además, la relación entre el uso de emergía y el PIB disminuyó de 1.21 × 1017 seJ / $ 10,000 a 2.31 × 1016 seJ / $ 10,000 (Tabla 4), lo que indicó que se necesitaba menos emergía para producir algo de igual valor. Es principalmente debido a que la mejora en la eficiencia del uso de emergía se originó en el progreso técnico.
El uso de emergía de recursos no renovables muestra una tendencia creciente: desde 1.12 x 1022 seJ en 2000 a 2,75 x 1022 seJ en 2016, respectivamente. Mientras, la economía de Zengcheng recientemente ha desarrollado, lo que resulta en un aumento de la demanda de energía, el aumento en el uso de automóviles privados también ha aumentado el consumo de petróleo y otros recursos. Entre el uso de recursos no renovables, la electricidad tuvo la mayor proporción, del 40% (excepto en 2000, cuando representó el 29%). El uso de cemento mostró una tendencia decreciente entre 2000 y 2016 debido a la infraestructura bien construida con menos renovaciones o reparaciones requeridas; la frecuencia de uso del cemento está disminuyendo. El uso de otros recursos no renovables mostraron diferentes grados de aumento y la importación de recursos de fuera de la región representaron alrededor del 20%. La oferta local de carbón se encontraba en un nivel bajo y dependía principalmente de los recursos de fuera de la región. El uso de electricidad, agua y cemento reflejó la autosuficiencia básica en Zengcheng, mientras que la necesidad de otros recursos aún requería suministro externo. La emergencia de entradas y salidas extranjeras muestra una tendencia creciente, y la brecha entre los dos lados se ha ensanchado. La necesidad de insumos extranjeros alcanzó 1.44x 1021 seJ en 2016, lo que fue 2.44 veces la cifra del 2000. La emergencia de salidas extranjeras aumentó de 1.99 1021 seJ a1.98 1022 seJ durante el mismo tiempo con un aumento de aproximadamente diez veces desde 2000 (Liu et al., 2018, p.7).
TABLA ¿?. Changes in the emergy evaluation index of the circular
economy, 2000-2016
| Años | 00 | 01 | 02 | 03 | 04 | 05 | 06 | 07 | 08 | 09 | 10 | 11 | 12 | 13 | 14 | 15 | 16 |
|---|---|---|---|---|---|---|---|---|---|---|---|---|---|---|---|---|---|
| EYR | 5,41 | 5,07 | 5,28 | 6,52 | 5,70 | 5,66 | 5,08 | 4,76 | 4,53 | 4,53 | 3,65 | 3,65 | 3,73 | 4,01 | 3,94 | 4,52 | 4,22 |
| ELR | 1,64 | 1,85 | 1,99 | 2,25 | 2,69 | 2,88 | 3,34 | 3,27 | 3,58 | 4,81 | 4,72 | 4,45 | 4,71 | 4,55 | 4,71 | 4,73 | |
| ESI | 3,30 | 2,74 | 2,66 | 2,89 | 2,12 | 1,96 | 1,46 | 1,43 | 1,38 | 1,26 | 0,76 | 0,77 | 0,84 | 0,85 | 0,97 | 0,96 | 0,89 |
Fuente: Liu et al. (2018).
Un breve análisis de la Tabla 3, en la que se muestran los 17 años de comportamiento de N, R, F y del total de inputs emergéticos del ecosistema, indica que se ha incrementado el uso de emergía no renovable de forma sensible, así como que se ha disminuido el uso de emergía renovable. Estos comportamientos del ecosistema señalan una condición de retroceso, frente a la observada en los primeros años del período analizado. Pero para mayor seguridad sobre el estado del ecosistema Zengcheng, se analizarán los datos relacionados con los indicadores producción de emergía (EYR), carga ambiental (ELR) y sostenibilidad ambiental (ESI).
GRÁFICA 2. Changes of emergy yield ratio, 2000-2016
Fuente: Liu et al. (2018).
4.1.3 Índice de producción de emergía (EYR)
| Años | 00 | 01 | 02 | 03 | 04 | 05 | 06 | 07 | 08 | 09 | 10 | 11 | 12 | 13 | 14 | 15 | 16 |
|---|---|---|---|---|---|---|---|---|---|---|---|---|---|---|---|---|---|
| EYR | 5,41 | 5,07 | 5,28 | 6,52 | 5,70 | 5,66 | 5,08 | 4,76 | 4,53 | 4,53 | 3,65 | 3,65 | 3,73 | 4,01 | 3,94 | 4,52 | 4,22 |
Cuando EYR ≥ 5, el ecosistema es sostenible, pues usa básicamente emergía primaria. Si 2 ≤ EYR ≤ 5, el ecosistema está consumiendo materias primas de origen secundario, no primario. Cuando EYR ≤ 2, se presume que no se están usando adecuadamente los recursos locales y, seguramente, el ecosistema está utilizando recursos importados
Observando la serie de datos correspondiente a los 17 años de seguimiento, fácilmente se puede constatar que el ecosistema Zengcheng, durante los primeros siete años del siglo XXI, se mantuvo en una condición de producción de emergía que le permitía alcanzar el estadio de sostenibilidad. A partir de 2007, el proceso de industrialización exigió la importación de emergías, sobre todo no renovables, como los combustibles (petróleo, carbón), y el consumo de materias primas de origen secundario (industrial), lo que ha significado que el ecosistema tienda a una condición de riesgo en su sostenibilidad, aunque la situación aún no e3 crítica, pues se ha mantenido en el límite superior del escalón, muy cerca del ratio de sostenibilidad. Se puede observar, en la Figura 3, la tendencia a una leve disminución de la línea correpondiente a ELR. Esta condición se juzgará mejor con el análisis de los datos de los otros indicadores y sus tendencias.
GRÁFICA 2. Changes of environmental loading ratio, Ratio of waste to yield, and ratio of waste to total import (EWR), 2000-2016
Fuente: Liu et al. (2018).
4.1.4 Índice de carga ambiental (ELR)
| Años | 00 | 01 | 02 | 03 | 04 | 05 | 06 | 07 | 08 | 09 | 10 | 11 | 12 | 13 | 14 | 15 | 16 |
|---|---|---|---|---|---|---|---|---|---|---|---|---|---|---|---|---|---|
| ELR | 1,64 | 1,85 | 1,99 | 2,25 | 2,69 | 2,88 | 3,34 | 3,27 | 3,58 | 4,81 | 4,72 | 4,45 | 4,71 | 4,55 | 4,71 | 4,73 |
Cuando los valores de ELR son < 2, indican que los procesos tienen un bajo impacto ambiental, o cuentan con una gran área para disipar sus efectos ambientales. Si se obtiene 2 ≤ ELR ≤ 10, se considera el impacto como moderado. Si el indicador ELR > 10, hay un alto impacto ambiental.
La serie de datos correspondiente a ELR permite observar un comportamiento de crecimiento de la carga ambiental sostenida del ecosistema Zengcheng durante los primeros diez años, mientras que en los siete últimos el ratio se ha estabilizado, lo que permite ratificar la condición de alerta que se había establecido por el análisis del índice EYR, sin que la condición sea crítica aún. En este caso de la carga ambiental, existe un buen margen para planear y formular políticas que permitan recobrar la condición de sostenibilidad del ecosistema. De todas maneras, no debería dejar de preocupar el fuerte crecimiento del índice, al pasar de 1,64, en 2000, a 4,81, en 2010, triplicando el guarismo en esa década. Se nota que la administración municipal ha realizado esfuerzos para no continuar con la tendencia de crecimiento de la carga, sin embargo, las medidas no han sido suficientes hasta ahora.
4.1.5 Índice de sostenibilidad ambiental (ESI)
| Años | 00 | 01 | 02 | 03 | 04 | 05 | 06 | 07 | 08 | 09 | 10 | 11 | 12 | 13 | 14 | 15 | 16 |
|---|---|---|---|---|---|---|---|---|---|---|---|---|---|---|---|---|---|
| ESI | 3,30 | 2,74 | 2,66 | 2,89 | 2,12 | 1,96 | 1,46 | 1,43 | 1,38 | 1,26 | 0,76 | 0,77 | 0,84 | 0,85 | 0,97 | 0,96 | 0,89 |
Cabe recordar que ESI = EYR / ELR. Así que el comportamiento de ESI depende del comportamiento de sus causantes, los que, por su condición de contrarios, influyen de forma opuesta. El crecimiento de EYR es complementario al decrecimiento de ELR, y viceversa. Si ESI < 1, el ecosistema está en riesgo de colapsar en el largo plazo, incluso en períodos menos largos, cuando otros indicadores son negativos en la perspectiva ecológica. Si ESI está entre 1 y 5, el cosistema es sostenible en el mediano plazo. Con un ESI > 5, el cosistema es sostenible en el largo plazo.
El ecosistema Zengcheng nunca estuvo en una condición de sostenibilidad ambiental en el largo plazo, durante los 17 años de la serie de datos del momento investigado. Pero, además, lo que se observa es que los comportamientos levemente negativos de los índices, creciendo ELR y decreciendo EYR, han creado un cuadro crítico para el dato final de ESI. Como se anotaba arriba, este es un caso de comportamiento complementario negativo. Este indicador parte el período analizado en 2000, con un aceptable guarismo de 3,30; pero termina con un 0,89, que lo pone en una condición de alerta hacia el largo plazo, respecto de su sostenibilidad, anotando que, en 2010, mostró el resultado más crítico, con 0,76.
5. Adaptación de los criterios ecológicos dentro de la T3C: introducción a la contabilidad ecológica
La eco-bio-contabilidad, orientada a la sostenibilidad ecológica, es una dimensión de la T3C, y se formula como una contrapropuesta disciplinal del Programa de Investigación T3C a la conocida contabilidad ambiental, que surgió en la segunda mitad del siglo XX, bajo la influencia del modelo económico neoclásico, con una orientación de mercado monetarista y marcadamente utilitarista, basada en el concepto de que los recursos naturales son infinitos, y de libre uso y consumo, cuyo costo es el de la disposición o extracción, con mínimas o nulas responsabilidades frente a su agotamiento o frente a los efectos colaterales de contaminación ecológica y deterioro del patrimonio natural.
La contabilidad para la sostenibilidad establece la necesidad de reconocer los impactos ambientales, sociales y económicos que genera el accionar de la organización, la contabilidad tradicional sólo reconoce los aspectos que son actos del mercado y representables monetariamente. La economía ecológica al respecto establece la necesidad de reconocer la riqueza natural que no ha sido producida por el hombre, señalando que “no se puede confundir extracción con verdadera producción sostenible” (Martínez y Roca 2013, p. 19), haciendo referencia directa a la actividad económica extractiva (Mejía, 2014, p.19).
La dimensión ecobio-contabilidad, dentro de la T3C, se orienta a identificar, reconocer, clasificar en cuentas, medir, valorar, imputar e informar en estados contables los fenómenos relacionados con la riqueza ambiental adscrita a un patrimonio estatal, público, gubernamental, mixto o privado. Tales fenómenos se refieren a la determinación del quantum en el estado inicial, en el momento de la medición-valoración; a los incrementos y disminuciones, estableciendo sus causas y responsables del hecho; y la determinación del saldo al final de un período dado de tiempo, para consignar tales datos en los estados contables respectivos.
Todos estos procesos, de los cuales dará cuenta la ecocontabilidad, están referidos a observaciones empíricas medidas y valoradas en unidades físicas, seJ, y, en algunos casos, monetarias (emdólares o empesos), no reconocidas por el mercado. Para establecer tales quantums o cantidades, deben realizarse estudios empíricos que determinen la cantidad de unidades de emergía por unidad del elemento medido. Siguiendo a Odum (1996; 2000), las unidades básicas homogéneas válidas para computar la emergía de todos los elementos naturales y artificiales existentes en el ecosistema tierra, son los emjulios o emjoules, siendo la unidad básica y más simple los emjulios solares (seJ). Existen estudios que han determinado cantidades estándares para algunos elementos naturales y artificiales, los cuales parecen ser aceptados por muchos especialistas ecológicos para sustentar los diversos estudios que, profusamente, se publican.
Por ahora, el GICIC ha decidido aceptar como válida la hipótesis de Odum (2000):
Dado que hay energía disponible en todo lo que es reconocible (incluso información), se puede usar una medida basada en la energía, emergida, escrita con una "m", para evaluar la riqueza real sobre una base común, pero no se agregan calorías de diferentes tipos. Emergy reconoce y mide la jerarquía de energía universal, que debe considerarse como una ley de quinta energía. Los sistemas de la naturaleza y la humanidad en todas las escalas forman parte de una jerarquía de energía universal, que es la red de procesos de transformación de energía que une escalas pequeñas a escalas más grandes y estas a escalas aun mayores (p.1).
Por ello, los ejemplos desarrollados en este acápite asumen la existencia de emergía en todos los elementos naturales y, derivada de este aserto, la posibilidad de medir la riqueza de un entorno determinado. Es cierto que existe un debate frente a esta propuesta novedosa; y que, desde las toldas de disciplinas y profesiones como la física, economía, ingeniería, biología, ecología, entre otras, se han manifestado fuertes críticas a la metodología creada por Odum y enriquecida por muchos de sus seguidores, investigadores que han publicado profusamente artículos y libros sobre esta temática. Sin embargo, el GICIC le apuesta a esta orientación metodológica, no sin contar con la asesoría de expertos investigadores de las ciencias naturales que han contribuido con sus conceptos para adelantar este empeño contable.
Como se anotó antes, el primer paso en este proceso es aprehender, comprender parte de –y ojalá todo– lo que concierne a los hallazgos investigativos, hipótesis del comportamiento y medición de la emergía de los elementos naturales, bióticos y abióticos, ya que el objetivo es de dar cuenta de la riqueza ecológica (medir, inventariar, informar y controlar). El segundo, seleccionar los contenidos pertinentes de esta vasta producción, para los intereses de esta investigación. El tercero, acondicionar y homogenizar los enunciados, con el fin de que sean expresables en un lenguaje común no monetario y ampliamente aceptado (cantidades expresadas en seJ). El cuarto es transformar las magnitudes no monetarias en unidades monetarias no establecidas por el mercado, cuando sea pertinente (emdollars o dólares emergéticos). El quinto, la formulación de las cuentas, planes de cuentas y dinámicas de las mismas. El sexto, la elaboración de estados contables. Y el séptimo es desarrollar análisis contables emergéticos, mediante la creación de indicadores pertinentes y la aplicación de los ya existentes (EYR, ELR, ESI, etc.).
En este aparte se tomarán diversos aportes que el GICIC ha construido y difundido en varias publicaciones a las que se hará referencia a continuación. El enfoque que se asumirá en estos ejemplos será el de las macrocuentas o Sistema de Cuentas Nacionales (SCN), complementado con la metodología de la partida doble, en la perspectiva de observar y contabilizar los intercambios emergéticos de forma genérica entre los siguientes macroactores: Gobierno (nación, departamento, municipio), Entidad (pública, mixta o privada) y Hogar (familias). A su vez, se determinan estas entidades como las organizaciones válidas para constituirse en los actores responsables de los intercambios y los mantenimientos de la riqueza natural dentro del escenario propuesto de un Sistema de Cuentas Emergético (SCE). De forma complementaria, se establecen seis subsistemas de recursos naturales, como fuentes y depositarios de los mismos: agua, aire, flora, fauna, suelo y subsuelo.
Figura 4: Existencias de recursos ambientales en la Teoría Tridimensional de la
Contabilidad
Fuente: Mejía y Serna (2019).
El siguiente gráfico muestra los posibles intercambios que pueden realizarse entre los macroactores de un entorno específico, sin considerar ni inputs o importaciones (más allá de las naturales) ni outputs o exportaciones, de o a agentes externos al entorno.
Figura 5: Circulación de recursos naturales en la Teoría Tridimensional de la Contabilidad
Fuente: Mejía y Serna (2019).
5.1 Conceptos básicos
A continuación, se determinarán los elementos conceptuales básicos, creados por el GICIC, que se van a utilizar en los casos prácticos.
El activo ambiental se define de la siguiente manera:
Los activos ambientales son el conjunto de recursos y relaciones [tangibles o intangibles] de tipo natural libres en la Naturaleza o controlados por la organizaciones (entidades de gobierno, entidades privada y hogares), ya sea a través del dominio, propiedad, control, uso, posibilidad de disposición y/o explotación directa o indirecta del mismo; del cual la organización tiene la posibilidad de obtener algún tipo de beneficio ya sea ambiental, social o económico (Gil et al., 2017).
El pasivo ambiental, por su parte, se explica así:
Los pasivos corresponden al conjunto de obligaciones4 que tiene la organización las cuales deberán ser cubiertas en el presente o futuro, surgidas como resultado de actos y hechos pasados en los cuales la organización de forma directa o indirecta participa por acción u omisión, de forma voluntaria o involuntaria, en el uso, consumo, disposición y/o explotación de algún tipo de riqueza que era directa o indirectamente controlada por otras organizaciones o que estando bajo su control tenía el deber de conservarla, el activo se agotó o degradó. El cumplimiento de las obligaciones implica que la(s) organización(es) debe(n) transferir parte de su riqueza controlada a otra(s) organización(es) para dar cumplimiento con la obligación existente (Gil et al., 2017, p. 131)
Los pasivos ambientales se generan por las siguientes situaciones:
Por su parte, la circulación puede ser de tres tipos:
Los siguientes son los primeros tres tipos de operaciones incluidas en la Figura 5 , que se contabilizarán en el Caso 1.
1. C1: activo ambiental que es captado directamente de la naturaleza por una entidad de gobierno G1.
2. C3: activo ambiental que es captado directamente de la naturaleza por una entidad privada E1.
3. C5: activo ambiental que es captado directamente de la naturaleza por un hogar H1.
5.2 Caso 1
5.2.1 Supuesto 1. Recursos naturales
Se establecen seis subsistemas de recursos naturales, como fuentes y depositarios de los mismos: agua, aire, flora, fauna, suelo y subsuelo.
5.2.2 Supuesto 2. Unidades de medición
Las unidades de medición utilizadas inicialmente han sido las kilocalorías que, por procesos de transformidad, se han convertido primero en julios y luego en sej, es decir, en julios emergéticos solares. Los sej son las unidades básicas más simples que pueden representar a todos los elementos de la naturaleza de manera homogénea, de forma que las cantidades de los diversos elementos pueden ser computados como si fueran de la misma clase o categoría de recurso. Se formula la unidad de valor ambiental (UVA), expresada en sej, como la unidad de medición equivalente a los emjulios solares contenidos en los recursos naturales; es decir, 1 UVA = 1 sej.5
5.2.3 Supuesto 3. Inventarios iniciales de recursos naturales
Agua: 1,2 E52; flora: 1,0 E52; fauna: 1,5 E52. Estos elementos pertenecen al entorno nacional y están bajo el dominio del Estado, bajo la cuenta denominada Estado-Naturaleza (N).
5.2.4 Supuesto 4. Actores
Los actores considerados en este caso son: Estado-Naturaleza (N), Entidad de Gobierno (G), Entidad privada (E), Hogares (H).
5.2.5 Supuesto 5. Cuentas
Las cuentas que representarán la dinámica ecológica dentro del entorno social son las siguientes:
5.2.6 Supuesto 6. Transacciones
0. Registro inicial de inventarios de recursos naturales pertenecientes al Estado-Nación. Agua: 1,2 E52 UVAs; Flora: 1,0 Esup>52 UVAs; Fauna: 1,5 Esup>52 UVAs.
1. Captación de recurso natural Agua por parte de Entidades de Gobierno x valor de 9 E50 UVAs.
2. Captación de recurso natural Flora por parte de Entidades de Gobierno x valor de 8 E50 UVAs.
3. Captación de recurso natural Fauna por parte de Entidades de Gobierno x valor de 7 E50 UVAs.
4. Captación de recurso natural Agua por parte de Entidades privadas x valor de 9 E50 UVAs.
5. Captación de recurso natural Flora por parte de Entidades privadas x valor de 8 E50 UVAs.
6. Captación de recurso natural Fauna por parte de Entidades privadas x valor de 7 E50 UVAs.
7. Captación de recurso natural Agua por parte de Hogares x valor de 9 E50 UVAs.
8. Captación de recurso natural Flora por parte de Hogares x valor de 8 E50 UVAs.
9. Captación de recurso natural Fauna por parte de Hogares x valor de 7 E50 UVAs.
Transacción 0. Registro inicial del Inventario de Recursos Naturales del Estado- Nación, en UVAs:
| Cuenta/subcuenta | Débito | Crédito |
|---|---|---|
| Inventario - Agua | 1,2 E52 | |
| Inventario - Flora | 1,0 E52 | |
| Inventario - Fauna | 1,5 E52 | |
| Patrimonio | 3,7 E52 |
Transacción 1a. Registros de las Entidades de Gobierno:
| Cuenta/subcuenta | Débito | Crédito |
|---|---|---|
| Inventario - Agua | 9 E52 | |
| Cuentas por pagar - Agua (Naturaleza) | 9E52 | |
| Captación de recurso natural Agua por parte de Entidades de Gobierno x valor de 9 E52 UVAs, transferido por Naturaleza. | ||
Transacción 1b. Registros de Estado-Naturaleza:
| Cuenta/subcuenta | Débito | Crédito |
|---|---|---|
| Cuentas por cobrar - Agua - a G | 9 E50 | |
| Inventario - Agua | 9 E50 | |
| Cesión de recurso natural Agua por parte de Naturaleza x valor de 9 E50 UVAs, a Entidades de Gobierno. | ||
Transacción 2a. Registros de la Entidades de Gobierno:
| Cuenta/subcuenta | Débito | Crédito |
|---|---|---|
| Inventario - Flora | 8 E50 | |
| Cuentas por pagar - (Flora) Naturaleza | 8 E50 | |
| Captación de recurso natural Flora por parte de Entidades de Gobierno x valor de 8 E50 UVAs. | ||
Transacción 2b. Registros de Estado - Naturaleza:
| Cuenta/subcuenta | Débito | Crédito |
|---|---|---|
| Cuentas por cobrar - Flora - a G | 8 E50 | |
| Inventarios - Flora | 8 E50 | |
| Cesión de recurso natural Flora por parte de Naturaleza x valor de 8 E50 UVAs, a Entidades de Gobierno. | ||
Transacción 3a. Registros de las Entidades de Gobierno:
| Cuenta/subcuenta | Débito | Crédito |
|---|---|---|
| Inventario - Fauna | 7 E50 | |
| Cuentas por pagar - (Fauna) Naturaleza | 7 E50 | |
| Captación de recurso natural Fauna por parte de Entidades de Gobierno x valor de 7 E50 UVAs | ||
Transacción 3b. Registros de Estado - Naturaleza:
| Cuenta/subcuenta | Débito | Crédito |
|---|---|---|
| Cuentas por cobrar - Fauna - a G | 7 E50 | |
| Inventarios - Fauna | 7 E50 | |
| Cesión de recurso natural Fauna por parte de Naturaleza x valor de 7 E50 UVAs, a Entidades de Gobierno | ||
Transacción 4a. Registros de Entidades privadas:
| Cuenta/subcuenta | Débito | Crédito |
|---|---|---|
| Inventarios - Agua | 9 E50 | |
| Cuentas por pagar - Agua - a Naturaleza | 9 E50 | |
| Captación de recurso natural Agua por parte de Entidades privadas x valor de 9 E50 UVAs | ||
Transacción 4b. Registros de Estado - Naturaleza:
| Cuenta/subcuenta | Débito | Crédito |
|---|---|---|
| Cuentas por cobrar - Agua a E | 9 E50 | |
| Inventarios - Agua | 9 E50 | |
| Cesión de recurso natural Agua por parte de Naturaleza x valor de 9 E50 UVAs, a Entidades privadas. |
Transacción 5a. Registros de Entidades privadas:
| Cuenta/subcuenta | Débito | Crédito |
|---|---|---|
| Inventarios - Flora | 8 E50 | |
| Cuentas por pagar - Flora - a Naturaleza | 8 E50 | |
| Captación de recurso natural Flora por parte de Entidades privadas x valor de 8 E50 UVAs. | ||
Transacción 5b. Registros de Estado - Naturaleza:
| Cuenta/subcuenta | Débito | Crédito |
|---|---|---|
| Cuentas por cobrar - Flora a E | 8 E50 | |
| Inventarios - Flora | 8 E50 | |
| Cesión de recurso natural Flora por parte de Naturaleza x valor de 8 E50 UVAs, a Entidades privadas | ||
Transacción 6a. Registros de Entidades privadas:
| Cuenta/subcuenta | Débito | Crédito |
|---|---|---|
| Inventarios - Fauna | 7E50 | |
| Cuentas por pagar - Fauna - a Naturaleza | 7E50 | |
| Captación de recurso natural Fauna por parte de Entidades privadas x valor de 7 E50 UVAs. | ||
Transacción 6b. Registros de Estado - Naturaleza:
| Cuenta/subcuenta | Débito | Crédito |
|---|---|---|
| Cuentas por Cobrar - Fauna a E | 7E50 | |
| Inventarios - Fauna | 7E50 | |
| Cesión de recurso natural Fauna por parte de Naturaleza x valor de 7 E50 UVAs, a Entidades privadas. | ||
Transacción 7a. Registros de Hogares:
| Cuenta/subcuenta | Débito | Crédito |
|---|---|---|
| Inventarios - Agua | 9 E50 | |
| Cuentas por pagar - Agua - a Naturaleza | 9 E50 | |
| Captación de recurso natural Agua por parte de Hogares x valor de 9 E50 UVAs | ||
Transacción 7b. Registros de Estado - Naturaleza:
| Cuenta/subcuenta | Débito | Crédito |
|---|---|---|
| Cuentas por cobrar - Agua a E | 9 E50 | |
| Inventarios - Agua | 9 E50 | |
| Cesión de recurso natural Agua por parte de Naturaleza x valor de 9 E50 UVAs, a Hogares | ||
Transacción 8a. Registros de Hogares:
| Cuenta/subcuenta | Débito | Crédito |
|---|---|---|
| Inventarios - Flora | 8 E50 | |
| Cuentas por pagar - Flora - a Naturaleza | 8 E50 | |
| Captación de recurso natural Flora por parte de Hogares x valor de 8 E50 UVAs. | ||
Transacción 8b. Registros de Estado - Naturaleza:
| Cuenta/subcuenta | Débito | Crédito |
|---|---|---|
| Cuentas por cobrar - Flora a E | 8 E50 | |
| Inventarios - Flora | 8 E50 | |
| Cesión de recurso natural Flora por parte de Naturaleza x valor de 8 E50 UVAs, a Hogares. | ||
Transacción 9a. Registros de Hogares:
| Cuenta/subcuenta | Débito | Crédito |
|---|---|---|
| Inventarios - Fauna | 7 E50 | |
| Cuentas por pagar - Fauna - a Naturaleza | 7 E50 | |
| Captación de recurso natural Fauna por parte de Hogares x valor de 7 E50 UVAs. | ||
Transacción 9b. Registros de Estado - Naturaleza:
| Cuenta/subcuenta | Débito | Crédito |
|---|---|---|
| Cuentas por cobrar - Fauna a E | 7 E50 | |
| Inventarios - Fauna | 7 E50 | |
| Cesión de recurso natural Fauna por parte de Naturaleza x valor de 7 E50 UVAs, a Hogares. | ||
Tabla 4. Síntesis de las transacciones contables, presentadas en cuentas
Fuente: elaboración propia
Dado que todas las cantidades reflejadas en las cuentas están expresadas en UVAs, que a su vez son equivalentes a seJ o emjoules, estas pueden ser computadas sin importar de qué elemento o recurso natural se trate; por lo que se pueden formular balances de solo una cifra en el activo, una cifra en el pasivo e igual en el patrimonio:
| BALANCE | NATURALEZA |
|---|---|
| ACTIVO | PATRIMONIO |
| 3,7 E52 | 3,7E52 |
O puede presentarse desglosado en las diferentes subcuentas:
TABLA 5.
| BALANCE | NATURALEZA | ||
|---|---|---|---|
| ACTIVO | |||
| INVENTARIO AG | 9,3 E51 | PATRIMONIO | 3,752 |
| INVENTARIO FL | 7,6 E51 | ||
| INVENTARIO FA | 12,9 E51 | ||
| CTAS X COBRAR AG | 2,7 E51 | ||
| BALANCE | NATURALEZA | ||
| CTAS X COBRAR FL | 2,4 E51 | ||
| CTAS X COBRAR FA | 2,1 E51 | ||
| TOTALES | 3,752 | 3,752 | |
| BALANCE | GOBIERNO | ||
| ACTIVO | PASIVO | ||
| INVENTARIO AG | 9 E50 | CTAS X PAGAR AG a N | 9 E50 |
| INVENTARIO FL | 8 E50 | CTAS X PAGAR FL a N | 8 E50 |
| INVENTARIO FA | 7 E50 | CTAS X PAGAR FA a N | 7 E50 |
| TOTALES | 2,4 E51 | 2,4 E51 | |
| BALANCE | ENTIDADES PRIVADAS | ||
| ACTIVO | PASIVO | ||
| INVENTARIO AG | 9 E50 | CTAS X PAGAR AG a N | 9 E50 |
| INVENTARIO FL | 8 E50 | CTAS X PAGAR FL a N | 8 E50 |
| INVENTARIO FA | 7 E70 | CTAS X PAGAR FA a N | 7 E70 |
| TOTALES | 2,4 E51 | 2,4 E51 | |
| BALANCE | HOGARES | ||
| ACTIVO | PASIVO | ||
| INVENTARIO AG | 9 E50 | CTAS X PAGAR AG a N | 9 E50 |
| INVENTARIO FL | 8 E50 | CTAS X PAGAR FL a N | 8 E50 |
| INVENTARIO FA | 7 E50 | CTAS X PAGAR FA a N | 7 E50 |
| TOTALES | 2,4 E51 | 2,4 E51 | |
Fuente: elaboración propia.
Los cuatro balances muestran la síntesis del registro inicial correspondiente al inventario de Naturaleza y de las nueve transacciones realizadas entre los cuatro actores: Naturaleza, Gobierno, Entidades privadas y Hogares. En este Caso 1, tan solo se incluyeron operaciones de transferencia desde Naturaleza a los otros tres actores. Tales transacciones no incluyeron actividades de creación o consumo de elementos que significaran registros en cuentas de resultados. Por ello, tan solo se formularon estados de balance para cada actor.
Excepto el actor Naturaleza, los otros tres muestran pasivos que deben pagar con actividades relacionadas con la renovación de los recursos que han extraído de Naturaleza, mediante siembras y mantenimiento de las mismas. Esta constituye una obligación cuyo cumplimiento debe ser vigilado por el Estado.
5.3 Caso 2
5.3.1 Supuesto 1. Ecosistema Ciudad del Sol
Existe el ecosistema Ciudad del Sol, ubicado en Colombia, que importa y exporta emergías renovables y no renovables. Asimismo, produce bienes consumibles, los cuales, para su fabricación, requieren recursos emergéticos.
5.3.2 Supuesto 2. Transacciones de recursos 2018
Las transacciones de recursos para el año 2018 son:
1. Importaciones de emergía ambiental libre realizadas por Naturaleza: Recursos naturales (R = 2E23 UVAs y NR = 1E23 UVAs): sol, viento, agua de lluvia, agua de río.
2. Importación de recursos no renovables F2, por Entidades privadas (E), desde Entidades privadas externas (EE1 ), por valor 3E23 UVAs (combustibles, metales).
3. Importación de recursos renovables F1, por E, desde Entidades privadas externas (EE2 ), por valor de 2E23 UVAs (maderas, hortalizas, cereales), para Gobierno Ciudad del Sol (G).
4. Importación de otros recursos: fuerza laboral renovable (SLR), por G, desde Hogares externos (HE), por valor de 3E23 UVAs.
5. Exportación por E, de Productos industriales (Xi ): alimentos, bebidas gaseosas, licores, por valor de 5E23 UVAs, a Entidades externas (EE3 ).
6. Exportación de G: fuerza laboral, por valor de 4E23 UVAs, a Entidades externas (EE4).
7. G recibe (capta) de Naturaleza recursos naturales NR, por valor de 3E23 UVAs.
5.3.3 Supuesto 3. Balances de emergía
TABLA 6. Balance de emergía de Naturaleza - Ecosistema, Ciudad del Sol, 2017
| BALANCE | 2017 | GENERAL | 2017 |
|---|---|---|---|
| ACTIVO | PATRIMONIO | ||
| Cuentas por cobrar | 2E23 | Patrimonio | |
| Inventario R | 4E23 | ||
| Inventario NR | 6E23 | ||
| Totales | 1,2E24 |
Fuente: elaboración propia. R: Recursos renovables. NR: Recursos no renovables. Cantidades expresadas en UVAs. Ex = x10x. 1 UVA = 1Sej.
TABLA 7. Balance de emergía de Gobierno - Ecosistema, Ciudad del Sol, 2017
| BALANCE | 2017 | GENERAL | 2017 |
|---|---|---|---|
| ACTIVO | PASIVO | ||
| Cuentas por cobrar a EE3 | Cuentas por pagar a N | 2E23 | |
| Inventario R | 1E23 | ||
| Inventario NR | 1E23 | ||
| Inventario FLAB | 6E23 | PATRIMONIO | |
| PATRIMONIO | 6E23 | ||
| Total Activo | 8E23 |
Fuente: elaboración propia. R: Recursos renovables. NR: Recursos no renovables. Cantidades expresadas en UVAs. Ex = *10x. 1 UVA = 1Sej.
5.3.4 Supuesto 4. Flujos de emergía
En el siguiente cuadro se establecen los indicadores básicos relativos al consumo de emergía importada, producida en el ecosistema o exportada, para el año 2017.
TABLA 8. Consumo de emergía importada, 2017
| Índices | Flujos de emergía | Unidades | Valores 2017 | % 2017 |
|---|---|---|---|---|
| R | Emergía renovable | seJ/año | 3E23 | 30 |
| NR | Emergía no renovable | seJ/año | 1E23 | 10 |
| F1 | Emergía importada de combustibles y electricidad | seJ/año | 2E23 | 20 |
| F2 | Emergía importada alimentos | seJ/año | 3E23 | 30 |
| SLR | Fuerza laboral renov. - salarios | seJ/año | 1E23 | 10 |
| Totales | 10E23 | 100 |
Fuente: elaboración propia
5.3.5 Supuesto 5. Datos macro-emergéticos y transformidad
TABLA 9.
| Concepto | Valor 2017 | Valor 2018 | Observaciones |
|---|---|---|---|
| U = Emergía Colombia Sej/año6 | 2,64 E24 | 2,5 E24 | Datos supuestos para el caso7 |
| PIB Colombia 2017 y 2018 | 8,7 E14 | 9,0 E14 | Dato aproximado. No oficial |
| Emergía Ciudad del Sol | 10 E23 | 11 E¿sup>23 | Datos supuestos para el caso |
| PIB C. del Sol 2017 y 2018 | 3,58 E10 | 4 E10 | Datos supuestos para el caso |
| Población de Colombia | 45 E6 | 46,5 E6 | Datos supuestos para el caso |
| Población C. del Sol | 3,3 E5 | 3,5 E5 | Datos supuestos para el caso |
Fuente: elaboración propia
En el cuadro precedente se establecen los ratios básicos para resolver las incógnitas del Caso 2 y determinar la transformidad de los datos establecidos en sej, a datos formulados en em$ y en sej persona, para Colombia.
Teniendo en cuenta los supuestos anteriores y las observaciones complementarias, se pide:
1. Elaborar un flujograma emergético del Ecosistema Ciudad del Sol para reflejar los flujos emergéticos generados por la actividad del mismo durante el año 2018.
2. Elaborar los registros contables correspondientes a las transacciones emergéticas realizadas por el ecosistema en el año 2018 y, en una hoja de trabajo, mostrar de forma sintética los movimientos transaccionales y las cuentas afectadas en la contabilidad emergética de Naturaleza y de Gobierno.
3. Establecer el balance de emergía de Naturaleza y de Gobierno, del Ecosistema Ciudad del Sol, 2018, y presentarlos de forma comparativa con los de 2017.
4. Determinar los índices base del análisis de sostenibilidad del Ecosistema Ciudad del Sol, para los años 2017 y 2018, a saber: ELR, EYR, ESI, EIR y %R, y presentarlos en un cuadro comparativo para los dos años de estudio.
5. Desarrollar el análisis de sostenibilidad del Ecosistema Ciudad del Sol.
6. Determinar la transformidad del dinero y de las personas, relacionando los macrovalores emergéticos con el PIB y la población total de los ecosistemas nacional y local.
5.4 Solución del Caso 2
5.4.1 Elaboración del flujograma emergético del Ecosistema Ciudad del Sol
Mediante el flujograma de las actividades realizadas por el Ecosistema Ciudad del Sol, se pueden observar las rutas de las transacciones emergéticas que se generaron, debido a las actividades socioeconómicas del entorno; también permite determinar los actores que intervinieron en las transacciones; asimismo, pueden identificarse las actividades de importación y exportación realizadas por tales actores. Todo lo anterior se refiere a los flujos de las principales actividades emergéticas desarrolladas por el ecosistema durante el año 2018.
5.4.2 Registro de las transacciones de recursos para el año 2018
Reg. 1 - Registros de Naturaleza, N:
| Cuenta/subcuenta | Débito | Crédito |
|---|---|---|
| Inventario recursos renovables (R) | 2E23 | |
| Inventario recursos no renovables (NR) | 1E23 | |
| Patrimonio | 3E23 | |
| Importaciones de emergía ambiental libre realizadas por Naturaleza: recursos naturales (R = 2E23 UVAs y NR = 1E23 UVAs): sol, viento, agua de lluvia, agua de río. | ||
Reg. 2 - Registros de Entidades privadas, E:
| Cuenta/subcuenta | Débito | Crédito |
|---|---|---|
| Inventario recursos no renovables (NR) | 3E23 | |
| Cuentas por pagar, EE1 | 3E23 | |
| Importación de recursos no renovables F2, por Entidades privadas (E), desde Entidades privadas externas (EE1), por valor 3E23 UVAs (combustibles, metales). | ||
Reg. 3 - Registros de Entidades privadas, E:
| Cuenta/subcuenta | Débito | Crédito |
|---|---|---|
| Inventario recursos renovables (R) | 2E23 | |
| Cuentas por pagar, EE2 | 2E23 | |
| Importación de recursos renovables F1, por E, desde EE2, por valor de 2E23 UVAs (maderas, hortalizas, cereales), para Gobierno Ciudad del Sol (G). | ||
Reg. 4 - Registros de Gobierno Ciudad del Sol, G:
| Cuenta/subcuenta | Débito | Crédito |
|---|---|---|
| Inventarios - Fuerza laboral renovable | 3E23 | |
| Cuentas por pagar a HE | 3E23 | |
| Importación de otros recursos: fuerza laboral (SLR), por G, desde Hogares externos (HE), por valor de 3E23 UVAs | ||
Reg. 5 - Registros de Entidades privadas, E:
| Cuenta/subcuenta | Débito | Crédito |
|---|---|---|
| Cuentas por cobrar a EE3 | 5E23 | |
| Inventarios | 5E23 | |
| Exportación de E, de Productos industriales Xi,: alimentos, bebidas gaseosas, licores, por valor de 5E23 UVAs, a EE3. | ||
Reg. 6 - Registros de Gobierno Ciudad del Sol, G:
| Cuenta/subcuenta | Débito | Crédito |
|---|---|---|
| Cuentas por cobrar a EE4 | 4E23 | |
| Inventarios - Exp. fueza laboral renovable | 4E23 | |
| Exportación de Gobierno, G: fuerza laboral (FLR), por valor de 4E23 UVAs, a EE4. | ||
Reg. 7a - Registros de Gobierno Ciudad del Sol, G:
| Cuenta/subcuenta | Débito | Crédito |
|---|---|---|
| Inventario recursos no renovables (NR) | 3E23 | |
| Cuentas por pagar a N | 3E23 | |
| G recibe de Naturaleza recursos NR, por valor de 3E23 UVAs | ||
Reg. 7b - Registros de Naturaleza, N:
| Cuenta/subcuenta | Débito | Crédito |
|---|---|---|
| Cuentas por cobrar a G | 3E23 | |
| Inventario recursos no renovables (NR) | 3E23 | |
| Naturaleza (N) transfiere a G recursos naturales NR, por valor de 3E23 UVAs. | ||
TABLA 10. Registros en hojas de trabajo - Naturaleza
Hoja de trabajo - Naturaleza (N)
Síntesis de saldos 2017 y 2018, y movimientos de Naturaleza 2018
| Cuentas | Saldos iniciales 2017 | Movimiento 2018 | Saldos finales 2018 | |||||
|---|---|---|---|---|---|---|---|---|
| D | C | D | N°R | C | N°R | D | C | |
| CXC | 2E23 | 3E23 | 7B | 5E23 | ||||
| -Gobierno | ||||||||
| INVENTARIOS | ||||||||
| -R | 4E23 | 2E23 | 1 | 6E23 | ||||
| -NR | 6E23 | 1E23 | 1 | 3E23 | 7B | 1,5E24 | ||
| PATRIMONIO | 1,2E24 | 3E23 | 1 | 1,5E24 | ||||
| Totales | 1,2E24 | 1,2E24 | 6E23 | 6E23 | 1,5E24 | 1,5E24 | ||
Fuente: elaboración propia. N°R: número de registro
TABLA 11. Registros en hojas de trabajo - Gobierno
Hoja de trabajo - Gobierno (G)
Síntesis de saldos 2017 y 2018, y movimientos de Gobierno 2018
| Cuentas | Saldos iniciales 2017 | Movimiento 2018 | Saldos finales 2018 | |||||
|---|---|---|---|---|---|---|---|---|
| D | C | D | N°R | C | N°R | D | C | |
| CXC | ||||||||
| -Gobierno | ||||||||
| INVENTARIOS | 4E23 | 6 | 4E23 | |||||
| -R | 1E23 | 1E23 | ||||||
| -NR | 1E23 | 3E23 | 7A | 4E23 | ||||
| -F.LR . | 6E23 | 3E23 | 4 | 4E23 | 6 | 5E23 | ||
| CXP | ||||||||
| -a N | 2E23 | 3E23 | 7A | 5E23 | ||||
| -a HE | 3E23 | 4 | 3E23 | |||||
| PATRIMONIO | 6E23 | 6E23 | ||||||
| Totales | 8E23 | 8E23 | 10E23 | 10E23 | 14E23 | 14E23 | ||
Fuente: elaboración propia. N°R: Número de registro; HE = Hogares Externos.
5.4.3 Balances comparativos de Naturaleza y Gobierno, 2017 y 2018
TABLA 12. Balance comparativo de emergía de N - Ecosistema Ciudad
del Sol, 2017 y 2018
| BALANCE | 2017 | 2018 | BALANCE | 2017 | 2018 |
|---|---|---|---|---|---|
| ACTIVO | PATRIMONIO | ||||
| CUENTAS X COBRAR | 2E23 | 5E23 | PATRIMONIO | 1,2E24 | 1,5E24 |
| INVENTARIO R | 4E23 | 6E23 | |||
| INVENTARIO N | 6E23 | 4E23 | |||
| Totales | 1,2E24 | 1,5E24 | 1,2E24 | 1,5E24 |
Fuente: elaboración propia.
TABLA 13. Balance comparativo de G - Ecosistema Ciudad del Sol,
2017 y 2018
| BALANCE | 2017 | 2018 | BALANCE | 2017 | 2018 |
|---|---|---|---|---|---|
| ACTIVO | PASIVO | ||||
| CUENTAS X COBRAR | 4E23 | CUENTAS POR PAGAR | 2E23 | 8E23 | |
| INVENTARIO R | 1E23 | 1E23 | |||
| INVENTARIO NR | 1E23 | 4E23 | |||
| INVENTARIO FLR | 6E23 | 5E23 | PATRIMONIO | ||
| PATRIMONIO | 6E23 | 6E23 | |||
| Totales Activo | 8E23 | 14E24 | Totales Pasivo y Patrimonio | 8E23 | 14E24 |
Fuente: elaboración propia.
5.4.4 Determinación de los índices base del análisis de sostenibilidad del Ecosistema Ciudad del Sol (2017 y 2018) y su presentación de forma comparativa
Ratios de gestión.
2017
2018
TABLA 14. Cuadro comparativo de flujos de emergía C. del Sol, 2017-2018
| Factores | Flujos de Emergía | Unidades | Valores 2017 | % 2017 | Valores 2018 | % 2018 |
|---|---|---|---|---|---|---|
| R | Emergía renovable | seJ/año | 3E23 | 30 | 2E23 | 18 |
| NR | Emergía no renovable | seJ/año | 1E23 | 10 | 1E23 | 9 |
| F2 | Emergía importada de combustibles y electricidad | seJ/año | 2E23 | 20 | 3E23 | 27 |
| F1 | Emergía importada de alimentos | seJ/año | 3E23 | 30 | 2E23 | 18 |
| SLR | Fuerza laboral - salarios renov. | seJ/año | 1E23 | 10 | 3E23 | 28 |
| Totales | 10E23 | 100 | 11E23 | 100 |
Fuente: elaboración propia.
En la siguiente tabla, se ordenan los ratios básicos, presentados de forma comparativa, para el análisis de la gestión gubernamental en la perspectiva de la sostenibilidad ecológica.
TABLA 15.
| Índices | Detalle | Unidades | V/res 2017 | V/res 2018 |
|---|---|---|---|---|
| EYR | Índice de producción de emergía U/(F1+F2+SLR) = 10/6; 11/8 | sej/año | 1,7 | 1,4 |
| ELR | Índice de carga ambiental (NR+F1+F2+SLR)/(R) = 7/3; 9/2 | sej/año | 2,3 | 4,5 |
| ESI | Índice de sostenibilidad ambiental (EYR/ELR) = 1,7/2,3; 1,4/1,8 | sej/año | 0,7 | 0,3 |
| EIR | Índice de inversión de emergía EIR=( F1+F2+SLR) / (R+NR) = 6/4; 8/3 | sej/año | 1,5 | 2,7 |
| %R | R = Ratio de Renovación de EmergÍa por unidad %R=(R+SLR)/(R+NR+F1+F2+SLR))*100 = 4/10; 5/11 | sej/año | 0,4 | 0,5 |
5.4.5 Análisis de sostenibilidad
Interpretación de los índices para análisis de la gestión gubernamental del Ecosistema Ciudad del Sol.
Índice de producción de emergía (EYR):
EYR = (R+NR+F1+F2+SLR) / (F1+F2+SLR
U = (NR + R + F1 + F2 + SLR)
| Índices | Detalle | Unidades | V/res 2017 | V/res 2018 |
|---|---|---|---|---|
| EYR | Índice de Producción de emergía U/ (F1+F2+SLR ) = 10/6; 11/8 | sej/año | 1,7 | 1,4 |
Este índice se utiliza para estimar la dependencia del proceso respecto a lo importado o recursos comprados, y también para mostrar el aporte del capital natural local en la conomía de la región o del proceso. Los valores bajos de EYR (< 2) indican un beneficio bajo para la economía y una débil competencia en el mercado. Cuando 2 < EYR < 5, indica el uso de recursos energéticos primarios. También indica que no hay contribuciones significativas de recursos locales y están asociados a procesos que utilizan productos importados fabricados casi por completo. Por el contrario, los valores altos de EYR (≥ 5) indican una fuerte competencia que tiene el producto desarrollado y un alto beneficio económico (Cano Londoño et al., 2014).
Fácilmente, se puede establecer que el ecosistema analizado está en situación crítica frente a la producción de emergía propia, cuando se observan los siguientes rasgos:
1. El índice ERL, en 2017, tiene un valor de 1,7, que es menor de 2, por lo que ese año ya muestra una posición de emergencia.
2. Para el año 2018, el índice rebaja a 1,4, lo que agudiza el problema de producción de emergía local.
3. Si se observan los valores 10 E23 / 6 E23, para 2017, y 11 E23/8 E23, para 2018, se puede ver que hay un incremento más significativo en el denominador que en el numerador, de los fraccionarios que indican un crecimiento mayor de los recursos importados frente a los producidos por el ecosistema.
Índice de Carga Ambiental (ELR):
ELR = (NR+F1+F2+SLR) / R
| Índices | Detalle | Unidades | V/res 2017 | V/res 2018 |
|---|---|---|---|---|
| ELR | Índice de Carga Ambiental (NR+F1+F2+SLR) / (R) = 7 / 3; 9 / 2 | sej/año | 2,3 | 4,5 |
Entre más bajos los valores del ratio ERL, mejor situación de carga ambiental existe en el ecosistema.
Cuando los valores de ELR son < 2, indican que los procesos tienen un bajo impacto ambiental, o cuentan con una gran área para disipar sus efectos ambientales. Si se obtiene 2 ≤ ELR ≤ 10, se considera que el impacto como moderado. Si el indicador ELR > 10, hay un alto impacto ambiental y se da cuando los ecosistemas tienen alto nivel de importaciones no renovables o con altos lanzamientos al medio ambiente y también cuando en él se desarrollan procesos altamente tecnológicos contaminantes (Cano Londoño et al., 2014).
El caso del Ecosistema de Ciudad del Sol, aunque no es una situación alarmante, pues los índices ELR correspondientes a los dos años analizados están dentro de los parámetros de impacto moderado, muestra una tendencia marcada a desmejorar. Si se continúa la misma tendencia de crecimiento, en tres años estaría en situación de crisis. Este incremento en el valor del ELR significó un aumento de 96 %, al pasar de 2,3 a 4,5 de un año a otro.
Las posibles causas que han originado esta preocupante situación para el sector Gobierno, como responsable de gestionar el bienestar y progreso del Ecosistema Ciudad del Sol, son:
1. El flujo de emergía renovable disminuyó de un año a otro en un 33 %, pasando de 3E23 a 2E23. Este es un factor que explica el incremento del índice ELR. Examinando el cuadro de flujos de emergía comparativo entre los años 2017 y 2018, se puede constatar que el porcentaje de R, frente al total de emergía anual consumida por el ecosistema durante el año de análisis, rebajó del 30 % al 18 %.
2. Otro factor que contribuye al comportamiento de crecimiento del ELR es el incremento de las importaciones de combustibles, el cual sufrió un aumento del 33 %, pasando de 2E23 a 3E23. Si se revisa el cuadro de flujos de emergía comparativo entre los años 2017 y 2018, se puede constatar que el porcentaje de F2, frente al total de emergía anual ingresada al ecosistema durante el año de análisis, se incrementó del 20 % al 27 %.
3. Finalmente, el tercer aspecto explicativo de este comportamiento del ratio ERL es el del incremento del indicador SLR, cuyo valor en UVAs pasó de 1E23 a 3E23. Este incremento de la fuerza laboral importada por el ecosistema significó que su participación en los flujos emergéticos de ingreso durante el año 2018 pasara de ser el 10 % al 30 %. La gestión del Ecosistema Ciudad del Sol, al no proveer internamente la demanda de fuerza laboral que requiere la ciudad, está causando en medida significativa el panorama preocupante que se presenta.
Índice de Emergía Sostenible (ESI):
Es el indice de sostenibilidad, e indica la relación entre el rendimiento de la emergía y la carga ambiental.
ESI = (EYR / ELR)
| Índices | Detalle | Unidades | V/res 2017 | V/res 2018 |
|---|---|---|---|---|
| ESI | Índice de Sostenibilidad Ambiental (EYR/ ELR) = 1,7/2,3; 1,4/1,8 | sej/año | 0,7 | 0,3 |
Este índice refleja la capacidad de un sistema para proporcionar productos o servicios con mínimo estrés ambiental y un máximo beneficio económico. Cuando ESI < 1, el proceso no es sostenible a largo plazo; cuando 1 < ESI < 5, la contribución a la economía está presente durante periodos a medio plazo. Con ESI > 5, el proceso puede ser considerado sostenible a largo plazo. Sin embargo, es incorrecto creer que cuanto mayor es este índice, mayor es la sostenibilidad del proceso, ya que cuando es el ESI > 10, se considera que el proceso es subdesarrollado (Cano Londoño et al., 2014).
En el caso del Ecosistema Ciudad del Sol, la situación es crítica, pues los índices ESI correspondientes a los dos años analizados están dentro de los parámetros de impacto negativo, y con una fuerte tendencia a desmejorar, ya que de un valor de 0,7 disminuye a 0,3.
Dado que este índice es el resultado del cociente de la división de los índices EYR y ELR, la causa que ha originado el comportamiento del ESI es la disminución de la capacidad de producción de emergía (decremento del EYR), al no generar recursos naturales propios, complemantada con el aumento de carga ambiental (incremento del ELR), al tener que importar tales recursos. Esta situación ratifica lo mencionado en los análisis previos: si la gestión gubernamental del ecosistema no da un drástico viraje en la política administrativa, Ciudad del Sol será inviable en su sostenibilidad ambiental.
Índice de Inversión de Emergía (EIR):
EIR = F1+F2+SLR / (R+NR)
| Índices | Detalle | Unidades | V/res 2017 | V/res 2018 |
|---|---|---|---|---|
| EIR | Índice de inversión de emergía, EIR=( F1+F2+SLR) / (R+NR) = 6/4; 8/3 | sej/año | 1,5 | 2,7 |
EIR significa que cuanto más bajo sea este índice, menor es el costo económico del proceso, por lo que la alternativa que presenta un índice bajo, tiende a ser más competitiva y florece en el mercado (Cano Londoño et al., 2014).
En esta ecuación, se están relacionando las importaciones al ecosistema con la producción de emergía propia, lo que significa que cuando el resultado es de EIR < 1 los recursos propios aportan la mayor cantidad de emergía consumida por el ecosistema. Si el índice EIR = 1, los aportes emergéticos son equivalentes entre lo que entra desde el exterior frente a las contribuciones locales. Si EIR > 1, las importaciones son mayores, con lo que el ecosistema manifiesta una condición de insostenibilidad, que será más crítica en tanto el resultado sea más alto.
En el caso del Ecosistema Ciudad del Sol, con resultados mayores a 1 y con tendencia marcada a incrementarse, como lo indican los valores de 1,5 y 2,7, se está ratificando el diagnóstico obtenido del análisis de los ratios antes estudiados; la situación negativa se agrava de un año a otro, con lo que la sostenibilidad del ecosistema está en riesgo alto.
% Ratio de renovación de Emergía por unidad (% R):
%R = ((R+SLR) / (R+NR+F1+F2+SLR))*100
| Índices | Detalle | Unidades | V/res 2017 | V/res 2018 |
|---|---|---|---|---|
| %R | R = Ratio de Renovación de EmergÍa por unidad. %R = ((R+SLR ) / (R+NR+F1+F2+SLR ))*100 = 4 / 10; 5 / 11 | sej/año | 0,4 40% |
0,5 50% |
Es la relacion que existe entre las entradas de fuentes renovables para el sistema sobre la emergeía total. El factor de renovabilidad debe ser calculado durante un análisis de emergía cuando quiere hacerse una evaluación de la sostenibilidad. Eso simplemente indica el porcentaje de emergía renovable utilizado por el sistema. Sistemas con un alto porcentaje de emergía renovable tienen mayores probabilidades de ser más sostenibles y prevalecerán (tienen más capacidad de sobrevivir a un estrés económico que los que utilizan una gran cantidad de emergías no renovables). Los índices de sostenibilidad anteriores permiten la mejor toma de decisiones ambientales. Por lo tanto, un proceso es sostenible cuando es energéticamente utilizable, económicamente rentable y respetuoso con el medio ambiente de forma integrada. Además, ser sostenible significa que el sistema depende de recursos renovables y no de los no renovables (Cano Londoño et al., 2014).
En el caso de Ciudad del Sol, este indicador informa que la participación de los recursos renovables frente a todos los aportes de emergía, locales e importados, es del 40 %, en 2017, y del 50 %, en 2018, lo que significa que aún siendo menor el aporte de los renovables, está creciendo gracias al incremento de la importación de SLR, es decir, de un recurso renovable. Ello implica que, si bien las importaciones son en general negativas para la sostenibilidad de un ecosistema, lo son en menor grado las de recursos renovables, presentando, en ocasiones –como la presente–, aportes positivos. El hecho de que el %R se haya incrementado es una buena noticia para la gestión gubernamental de Ciudad del Sol, aunque ello no signifique que la condición crítica de sostenibilidad haya cambiado.
5.4.6 Índices macro-emergéticos
TABLA 16.
| Concepto | Valor 2017 | Valor 2018 | Observaciones |
|---|---|---|---|
| U = Emergía Colombia Sej/año8 | 2,64 E24 | 2,5 E24 | Datos supuestos para el caso9 |
| PIB Colombia 201710 y 2018 | 8,7 E14 | 9,0 E14 | Dato aproximado. No oficial. |
| Emergía Ciudad del Sol | 10 E23 | 11 E23 | Datos supuestos para el caso |
| PIB C. del Sol 2017 y 2018 | 3,58 E10 | 4 E10 | Datos supuestos para el caso |
| Población de Colombia | 45 E6 | 46,5 E6 | Datos supuestos para el caso |
| Población C. del Sol | 3,3 E5 | 3,5 E5 | Datos supuestos para el caso |
Fuente: elaboración propia.
TABLA 17.
| Índices | Valores en UVAS 2017 | Valores en UVAS 2018 | Fórmulas |
|---|---|---|---|
| UPAÍS/PIBPAÍSSej/$ Transformidad del dinero | 2,64 E24/8,7 E14 = 3,0 E9 seJ/$ | 2,5 E24/9,0 E14 = 2,8 E9 seJ/$ | Tr. dinero= Emergía de Colombia UPAÍS/PIBPAÍS |
| UPAÍS/PERSPAÍSTransformidad de las personas Sej/pers | 2,64 E24/45 E6 = 5,9E16 seJ/Per | 2,5 E24/46,5 E6 = 5,4E16 seJ/pers | Trpersonas=Emergía Colombia / habitantes Colombia |
| UCSOL/PIBCSOL Sej/$ Transformidad del dinero | 10 E23/3,58 E10 = 2,79 E13 seJ/$ | 11 E23/4 E10 = 2,75 E13 seJ/$ | Trdinero= Emergía de C. Sol - UCSOL/PIBCSOL |
| UCSOL/PERSCSOLTransformidad de las personas Sej/ pers | 10 E23/3,3 E5 = 3,03 E18 seJ/ Per | 11 E23/3,5 E5 = 3,14 E18 seJ/ Per | Trpersonas=Emergía C. Sol / habitantes C. Sol |
Fuente: elaboración propia.
El flujo anual de emergía-país (U) y los índices U/PIBpaís, U/PERSpaís, UCSOL/PIBCSOL y UCSOL/PERSCSOL son valores emergéticos de índole macro y se constituyen en indicadores de nuevo tipo, que permitirán realizar comparaciones entre regiones y países, válidas para determinar las condiciones de riqueza energética, así como sus variaciones positivas y negativas, con lo que se pueden soportar las políticas pertinentes de gestión ecológica de los gobiernos. Además, son ratios que están relacionando valores emergéticos con los tradicionales utilizados en los estudios macroeconómicos, estableciendo así un puente entre los dos enfoques de observación de la realidad ecosistémica, la tradicional económica y la ecológico-emergética.
En el caso del indicador U/PIBpaís, se tienen unos valores con tendencia descendente, de 3,0 a 2,8, como resultado de dos fenómenos complementarios: decremento de U, es decir, disposición de recursos emergéticos dentro del Ecosistema Colombia; y, de otra parte, incremento del PIB, lo que produce que haya menos disponibilidad emergética por cada unidad monetaria. Estos resultados, si bien son solo válidos para el Caso 2, reflejan la realidad que está viviendo Colombia, dado que el factor Upaís puede estar disminuyendo, como resultado de la política de incremento de explotaciones de recursos naturales no renovables, como la minería de oro, gas y petróleo (ahora con el sistema fracking), así como por la deforestación, cuya tasa anual es de 220 mil hectáreas de bosque naturales, el 66 % de ellas en los territorios amazónicos (Instituto de Hidrología, Meteorología y Estudios Ambientales [IDEAM], 2018).
Respecto al índice Upaís/PERSpaís, que pasó de 5,9 E18 a 5,4 E18, muestra un comportamiento similar al de Upaís/PIBpaís, puesto que el numerador es igual y el denominador, que es la población total, creció a una tasa similar al crecimiento del PIB. Esto arroja una pérdida en potencial de emergía por persona de 0,5, es decir, 9,2 %, monto muy significativo y alarmante, sobre todo en referencia, no al caso hipotético que se analiza, sino a que esta puede estar muy cerca de la situación real de Colombia.
En el caso del indicador U/PIBCSOL, se tienen unos valores con una leve tendencia descendente, de 2,79 E13 a 2,75 E13, como resultado del incremento de U, es decir, la disposición de recursos emergéticos dentro del Ecosistema Colombia, en una tasa menor que la del incremento del PIB de la ciudad; ello produce que haya menos disponibilidad emergética por cada unidad monetaria en Ciudad del Sol.
En cuanto al índice Ucsol/PERScsol, pasó de 3,03 E18 a 3,14 E18, y muestra un comportamiento positivo –aunque leve– en su crecimiento. Esto arroja un incremento en potencial de emergía por persona del 3,63 %. Ello obedece a que el flujo total de emergía en el ecosistema, durante 2018, se incrementó en un 10 %, pasando de 10 E23 a 11 E23, en tanto que la población de la ciudad se incrementó solo en un 6 %, de 330 a 350 mil habitantes. Sin embargo, hay que considerar que tal situación de incremeto energético, si bien es positiva, debe entenderse en conjunto con el resultado de los análisis de los otros indicadores que, en el caso de Ciudad del Sol, no son nada esperanzadores, si se sigue con la tendencia de importar recursos, sobre todo los no renovables.
Luego de este acercamiento al estudio de la contabilidad frente a su dependencia teórica, y de los nuevos aportes recibidos inesperadamente de disciplinas como la ecología, la física y la biología, entre las principales, es necesario concluir el presente artículo con algunas reflexiones finales sobre el tema desarrollado
En primer término, hay que reconocer el profundo desconocimiento, desde lo contable, de las nuevas incógnitas que se develan, lo que genera una gran cantidad de preguntas y dudas, con las que es necesario cargar mientras se asimila lo que ya está asumido y apropiado como parte del saber disciplinar. La perspectiva de encontrar respuestas a esas incógnitas anima a continuar la búsqueda de otros caminos que permitan explorar y conocer los nuevos terrenos, hasta ahora propios de las ciencias de la naturaleza, teniendo en cuenta siempre que el rol de la contabilidad es el de dar cuenta de la información sobre la existencia del patrimonio natural, en pro de su sustentabilidad.
Los acercamientos a las disciplinas naturales que se han reseñado en este escrito son los primeros balbuceos con los que se intenta manifestar la necesidad de los contables por abordar, así sea de forma poco profunda, estos respetables y maduros saberes, requisito obligatorio para construir nuevas rutas de desarrollo de la disciplina, con el objetivo de aportar al reconocimiento de la magnitud del patrimonio ecológico.
De igual manera, no se puede avanzar por estos nuevos caminos de conocimiento interdisciplinario y, quizás, transdisciplinario, sin un mínimo manejo terminólógico de las otras disciplinas que contribuyen al reconocimiento de los problemas y a la construcción de las posibles rutas de solución.
En segundo término, se debe resaltar el hecho de que los avances en el registro de la medición ecocontable de los stocks y flujos de recursos naturales que se han incluido en este escrito han sido posibles por el arduo esfuerzo de múltiples investigadores, algunos de los cuales se han citado y reconocido, tales como Nicholas Georgescu-Roegen y Howard T. Odum, entre otros. Para ellos, un agradecimiento perenne.
Esta nueva metodología permite recorrer una ruta diferente al camino construido y transitado desde la aparición de los intercambio monetarios, hace aproximadamente 3000 años. Y este salto es más importante dadas las críticas circunstancias de cambio climático por las que atraviesa el ecosistema terrestre, agravadas por el desconocimiento e indiferencia de muchos gobiernos, y líderes políticos y empresariales de importantes países, sobre el fenómeno del deterioro ecosistémico.
El disponer de cuentas, balances y estados contables emergéticos, que permitan construir información en unidades físicas, no monetarias; y de allí derivar indicadores base de los análisis de sostenibilidad de los ecosistemas, abre una puerta que permite transitar por nuevas rutas de información y de control patrimonial.
2 Subrayado propio.
3 Negrillas propias
4 Relación que existe entre dos personas naturales o jurídicas, en la cual una de ellas se compromete para con la otra o ambas se comprometen para con el cumplimiento de una obligación de dar, hacer o no hacer (concepto jurídico). La T3C considera que la responsabilidad organizacional supera los límites del derecho positivo, para anclarse en el marco de una justicia ambiental, con alcance intra e intergeneracional. (Gil et al, 2017, p. 131)
5 Para evitar la escritura de cifras muy extensas, en lo que sigue, se utiliza Ex para significar *10x UVAs.
6 El dato de Energía Colombia para el año 2017 está tomado de López y Rodríguez (2013), porque tiene respaldo empírico.
7 En la realidad, es posible que estos datos tengan una tendencia decreciente dada la perspectiva de deterioro ambiental del Ecosistema Colombia.
8 El dato de Emergía Colombia para el año 2017 está tomado de López y Rodríguez (2013), porque tiene respaldo empírico.
9 En la realidad es posible que estos datos tengan una tendencia decreciente, dada la perspectiva de deterioro ambiental del Ecosistema Colombia.
10 PIB de Colombia año 2016: 280,1 mil millones de dólares, convertidos a pesos colombianos = 280,1 x $3000 = 840 billones de pesos, valor aproximado; ajustado por 3 %, para 2017, y por 6 %, para 2018.
Aguilera, F. y Alcántara, V. (Comp.), (1994). De la Economía Ambiental a la Economía Ecológica. Barcelona: Fuhem/Icaria.
Álvarez, S., Lomas, P.L., Martín, B., Rodríguez, M. &Montes, C. (2006). La síntesis emergética (“emergy synthesis”). Integrando energía, ecología y economía. Madrid: Universidad Autónoma de Madrid.
Aizpuru, M. 2002. UNFPA. Los limites al crecimiento. Reseña https://ecaths1.s3.amazonaws.com/geografiapoblacion/454577910.tmzapiain--limitesalcrecimiento.pdf
Bravo Amarante, E., López Bastida, E. y Romero Romero, O. (2018). La emergía como indicador de economía ecológica para medir sustentabilidad. Universidad y Sociedad, 10(5), 78-84. Recuperado de http://rus.ucf.edu.cu/index.php/rus
Cano Londoño N. A., Gallego Suárez, D., Velásquez, H. I. (2014). Emergy Evaluation: A Tool for the Assessment of Sustainability in Project Development. Int. Journal of Engineering Research and Applications, 4(2), 172-178.
Carpintero Redondo, O. (julio-agosto, 1999). Economía y ciencias de la naturaleza: algunas consideraciones sobre el legado de Nicholas Georgescu-Roegen. Tribuna de Economía, 779, 127-142.
Ceballos Rincón, Olga Inés y Mejía Soto, Eutimio. (2016). Medición contable de la sustentabilidad organizacional [método de circulación]. Un enfoque desde la Teoría Tridimensional de la Contabilidad. Revista Libre Empresa, No 25; pp. 127-142. ISSN: 1657-2815
Departamento Administrativo Nacional de Estadística (s. f.). Cuenta satélite ambiental (CSA). Recuperado de https://www.dane.gov.co/index.php/estadisticasportema/ambientales/cuenta-satelite-ambiental-csa#publicaciones-interinstitucionales-cuenta-sateliteambiental
Eberle, D. y Hayden, G. (1994). Crítica de la valoración contingente y del coste del viaje para la evaluación de los recursos naturales y de los ecosistemas. En F. Aguilera y V. Alcántara (comp.), De la Economía Ambiental a la Economía Ecológica (pp. 121-150). Barcelona: Fuhem/ Icaria.
Georgescu-Roegen, N. (1996). La Ley de la entropía y el proceso económico. Madrid: Fundación Argentaria.
Gil. G., Mejía, E., Montilla, O. y Montes, C. Ética del profesional contable: una reflexión desde la teoría tridimensional de la contabilidad T3C (Segunda Edición), ECOE Ediciones, 2017, ISBN: 9789587715293
Instituto de Hidrología, Meteorología y Estudios Ambientales (2018).
Liu, W.; Zhan, J.; Li, Z.; Jia, S.; Zhang, F.; Li, Y. (2018). Eco-Efficiency Evaluation of Regional Circular Economy: A Case Study in Zengcheng, Guangzhou. Sustainability, 10(2), 453.
López Villalobos, I. D. y Rodríguez Salcedo, J. (julio-diciembre, 2013). Análisis energético de la sostenibilidad ambiental del municipio de Palmira (Colombia). Revista de Investigación Agraria y Ambiental, 4(2), 67-96.
Malthus, T. R. Primer ensayo sobre la población. Ed. Atalaya. https://mu-seo-etnografico.com/pdf/puntode-fuga/171128malthus.pdf
Mejía Soto, Eutimio. (2014). Biocontabilidad: hacia una definición de una nueva disciplina contable. Revista Lúmina No 15; enero-diciembre, 106-129. ISSN 0123-4072
Mejía Soto, Eutimio. (2014) La Teoría Tridimensional de la Contabilidad. Apuntes desde la economía ecológica (Martínez y Roca). Revista Asuntos. No 28. pp. 169-191. ISSN: 0124-1133.
Mejía, E. (2015). Aportes a la biocontabilidad desde la bioeconomía de Georgescu-Roegen. Revista Asuntos, 28, 169-191.
Mejía Soto, Eutimio, Mora Roa, Gustavo, Montes Salazar, Carlos Alberto. ¿Para qué la contabilidad? un enfoque desde la Teoría Tridimensional. Revista Asuntos Económicos y Administrativos No.30, primer semestre 2016. ISNN 0124- 1133. Universidad de Manizales.
Mejía Soto, Eutimio y Ceballos Rincón, Olga Inés. (2016). Medición contable de la sustentabilidad organizacional desde la Teoría Tridimensional de la Contabilidad. Revista General José María Córdova 14 (18), 215-243. ISSN: 1900-6586.
Mejía, E. y Serna, C. A. (2019). Tránsito de la Contabilidad Convencional a la Biocontabilidad. Más allá de la Contabilidad Ambiental. REDICEAC.
Mejía E. y Vargas, L. A. (enero-diciembre, 2012). Contabilidad para la sostenibilidad ambiental y social. Revista Lúmina, 13, 48-71.
Naredo, J. M. (1994). Fundamentos de la Economía Ecológica. En F. Aguilera y V. Alcántara (comp.), De la Economía Ambiental a la Economía Ecológica (pp. 231-252). Barcelona: Fuhem/Icaria.
Odum, H. T. (1996). Síntesis de Environmental Accounting, Emergía and Decision Making. Nueva York: Ed. Wiley, J. and Sons.
Odum, H. T. (2000). Síntesis de Environmental Accounting, Emergía and Decision Making. Environmental Engineering Sciences, University of Florida, Gainesville, Florida, US.
Posada, L. G. (1999). Nicholas Georgescu-Roegen. Ensayos de Economía, 10(16), 149-168.
Robinson, J. La Segunda crisis de la Teoría Económica, Revista de Economía Crítica, nº19, primer semestre 2015, ISNN 2013-5254
¿